
Boletín Nacional de Análisis de Riesgos Agroclimáticos para las Principales Especies Frutales y Cultivos y la Ganadería
NOVIEMBRE 2025 — REGIÓN ARAUCANÍA
Autores INIA
Héctor Pauchard Cuevas, Técnico Agrícola, INIA Carillanca
Rodrigo Bravo Herrera, Dr. en Ciencias Agrarias, Remehue
Claudio Jobet Fornazzari, Ing. Agrónomo Ph. D., INIA Carillanca
Paul Escobar Bahamondes, Ing Agr., MSc. PhD., INIA Carillanca
Juan Inostroza Fariña, Ing. Agrónomo, INIA Carillanca
Rafael A. López Olivari, M. Sc, en Horticultura. Dr. En Ciencias Agrarias, INIA Carillanca
Paulina Etcheverria Toirkens, Ingeniera Agronoma, Dra., INIA Carillanca
Claudia Osorio Ulloa, Ing. Agrónomo, Carillanca, Investigador, Carillanca
Gastón Gutiérrez Gamboa, Ingeniero Agrónomo, Carillanca
Marcel Fuentes Bustamante, Ingeniero Civil Agrícola MSc., Quilamapu
Jaime Salvo Del Pedregal, Ing. Agrónomo Ph.D, La Cruz
Raúl Orrego, Ingeniero en Recursos Naturales, Dr, Quilamapu
René Sepúlveda, Ingeniero Civil Agrícola (C), Quilamapu
Coordinador INIA: Jaime Salvo Del Pedregal, Ing. Agrónomo Ph.D, La Cruz
La IX Región de la Araucanía presenta tres climas diferentes: 1 Clima subalpino marítimo de verano seco (Csc) en Caren-Rumiñañi, Refugio Llaima, 2 clima oceánico (Cfb) en Ñancul, Villucura, Contraco, Troyo, Lolco y el que predomina 3 Clima mediterráneo de verano cálido (Csb) en Galvarino, Llanquén, El Traum, Liucura, Pehuenco.
Este boletín agroclimático regional, basado en la información aportada por www.agromet.cl y https://agrometeorologia.cl/ , así como información auxiliar de diversas fuentes, entrega un análisis del comportamiento de las principales variables climáticas que inciden en la producción agropecuaria y efectúa un diagnóstico sobre sus efectos, particularmente cuando estos parámetros exhiban comportamientos anómalos que pueden afectar la cantidad o la calidad de la producción.



Este boletín proporciona un análisis actualizado de las condiciones agroclimáticas, utilizando información de la Red Agrometeorológica de INIA (https://agrometeorologia.cl/ y de la experiencia de nuestros profesionales.
Las precipitaciones registradas a principios de noviembre han seguido contribuyendo al balance de humedad del suelo. Es importante notar que estas lluvias se han distribuido de manera irregular, beneficiando a algunas zonas mientras que otras han quedado sin recibir aporte.
En relación con el mes de octubre, los registros de lluvia fueron, en general, superiores a los observados durante el mismo mes del año pasado. Sin embargo, se mantiene un déficit pluviométrico del 23.3% respecto a la media histórica mensual.
Además, el balance pluviométrico acumulado del año indica que La Araucanía presenta un déficit promedio regional del 10%. Zonas específicas, como el secano interior y el valle secano, superan este promedio con un 12.3% y 12.8% de déficit respectivamente.
El déficit acumulado se debe principalmente a un invierno con precipitaciones moderadas. No obstante, las lluvias esporádicas y bien distribuidas durante la primavera han permitido hasta ahora un buen desarrollo de los cultivos de secano.
Esto se ve reflejado en el Índice de Condición de la Vegetación (VCI) de la Región, que registró un valor mediano del 87% para el período del 16 al 31 de octubre. Es relevante destacar que, en el mismo período del año pasado, el VCI fue del 75%. En términos globales, la Región de La Araucanía presenta una condición favorable. Aun así, en varios sectores de la precordillera y cordillera, todavía es necesario suplementar la alimentación del ganado con forraje conservado para evitar la pérdida de peso y apoyar la pradera, la cual ha presentado un crecimiento moderado.
Respecto al comportamiento de las temperaturas medias durante octubre, se observa estabilidad en el secano costero y secano interior en comparación con los registros históricos. Hacia el valle secano y la precordillera, se ha notado un leve repunte; en estas últimas zonas, las temperaturas han superado el umbral de los 10°C por primera vez esta primavera, mientras que el secano costero e interior lo lograron desde el mes anterior.
El pronóstico climático para el trimestre Noviembre-Diciembre-Enero (NDE), basado en el reporte subestacional y estacional emitido por la Dirección Meteorológica de Chile indica que actualmente, nos encontramos bajo una condición pluviométrica clasificada como "bajo lo normal". Esto significa que se espera que los niveles de precipitación en la Región se mantengan por debajo de los promedios climatológicos históricos para este período.
En cuanto a las temperaturas, el pronóstico indica condiciones por encima de lo normal tanto para las mínimas como para las máximas. Sin embargo, es importante notar que algunas zonas específicas podrían experimentar temperaturas mínimas ligeramente más frescas de lo habitual.
Hemos recibido reportes de agricultores productores de papa indicando que han experimentado pérdidas. Es importante señalar que estas pérdidas no se deben a condiciones climáticas adversas, sino a una coyuntura de mercado. Específicamente, los precios de venta se han mantenido por debajo del margen de ganancia requerido, afectando seriamente la rentabilidad del cultivo.
Cuadro 1, Resume los datos de pluviometría y temperaturas del aire (medias, máximas, mínimas) por comuna correspondientes al mes de octubre de 2025 en la Región de la Araucanía.
|
Localidad |
Precipitación acumulada mes de soctubre |
Precipitación acumulada 2025 |
Temperatura media del aire (°C) |
Temp mínima absoluta del aire (°C) |
Temp máxima absoluta del aire (°C) |
Número heladas del aire |
|
Vilcún |
49,4 |
885,8 |
10,4 |
-0,9 |
24,0 |
4 |
|
Lautaro |
49,6 |
798,8 |
10,8 |
-0,4 |
24,4 |
1 |
|
Temuco |
45,9 |
636,1 |
11,2 |
-0,1 |
25,5 |
1 |
|
Padre las Casas |
47,5 |
748,2 |
11,3 |
1,4 |
24,8 |
0 |
|
Freire |
59,2 |
1114,6 |
10,9 |
-0,4 |
24,7 |
2 |
|
Pitrufquén |
77,7 |
1065,2 |
10,8 |
0,9 |
23,8 |
0 |
|
Gorbea |
55,6 |
1025,7 |
11,6 |
0,2 |
25,7 |
0 |
|
Loncoche |
62,3 |
934,6 |
11,0 |
0,6 |
24,9 |
0 |
|
Collipulli |
76,1 |
927,0 |
11,5 |
-0,2 |
25,0 |
1 |
|
Ercilla |
66,5 |
929,3 |
10,7 |
-1,0 |
23,8 |
2 |
|
Victoria |
54,3 |
916,4 |
10,6 |
-0,3 |
24,3 |
1 |
|
Perquenco |
38,8 |
682,5 |
10,3 |
0,6 |
22,8 |
0 |
|
Renaico |
30,2 |
707,6 |
13,6 |
0,6 |
27,4 |
0 |
|
Angol |
31,8 |
621,3 |
13,3 |
0,5 |
26,4 |
0 |
|
Los Sauces |
27,1 |
449,7 |
12,2 |
0,7 |
25,1 |
0 |
|
Purén |
36,6 |
447,8 |
11,8 |
-0,1 |
24,5 |
2 |
|
Lumaco |
35,9 |
401,7 |
11,8 |
-0,3 |
25,8 |
1 |
|
Traiguén |
38,6 |
541,2 |
10,9 |
0,3 |
23,8 |
0 |
|
Galvarino |
28,9 |
494,8 |
10,9 |
1,1 |
24,9 |
0 |
|
Chol Chol |
48,1 |
541,0 |
11,0 |
0,8 |
24,0 |
0 |
|
Imperial |
51,8 |
587,1 |
11,4 |
1,1 |
24,0 |
0 |
|
Tranapuente |
76,2 |
863,9 |
10,1 |
1,7 |
22,2 |
0 |
|
Pto Saavedra |
73,7 |
952,6 |
10,9 |
4,0 |
22,4 |
0 |
|
Teod. Schmidt |
72,1 |
961,8 |
11,1 |
2,1 |
24,6 |
0 |
|
Toltén |
123,4 |
1044,5 |
10,8 |
2,1 |
23,0 |
0 |
|
Curacautín |
122,3 |
954,0 |
9,8 |
-1,3 |
23,7 |
5 |
|
Melipeuco |
84,7 |
882,1 |
11,4 |
1,0 |
30,2 |
0 |
|
Cunco |
75,3 |
1078,2 |
11,0 |
0,0 |
24,2 |
1 |
|
Villarrica |
84,4 |
1267,8 |
10,7 |
-0,4 |
24,1 |
2 |
|
Curarrehue |
105,4 |
1744,3 |
11,2 |
-0,6 |
29,4 |
1 |
|
Pucón |
174,8 |
1950,9 |
10,5 |
-1,2 |
26,7 |
2 |
|
Lonquimay |
45,8 |
504,5 |
7,8 |
-4,5 |
24,2 |
19 |
La situación de la pluviometría y temperatura media del aire, obtenida en el secano costero de la región se muestra en un clima diagrama en un horizonte de tiempo que abarca desde enero 2023 al mes de octubre de 2025.

Figura1. Clima diagrama con datos meteorológicos obtenidos de Estación Meteorológica Tranapuente.
En el análisis pluviométrico se presentan las condiciones meteorológicas registradas en el secano costero de La Araucanía, cotejando los datos actuales con los promedios históricos.
El pasado mes de octubre, se registraron precipitaciones promedio de 85,4 mm en la zona del secano costero. Esto representa una leve disminución del 4,2% en comparación con el promedio histórico de 90,2 mm para el mes.
En cuanto al balance de la pluviometría acumulada hasta la fecha, se observa un déficit promedio del 9,9%. El total acumulado es de 1091,4 mm, frente a un promedio histórico acumulado de 1210,7 mm. Cabe destacar que el acumulado de este año en la costa es inferior al registrado a la misma fecha del año anterior, que fue de 1252,6 mm, y que la precipitación del mes fuera de tan solo 22,5mm.
Entre las comunas costeras que más han influido este mes en el acumulado anual es Toltén que presentó el mayor registro con 123,4 mm, mientras que Teodoro Schmidt, tuvo el menor aporte con 72,1 mm.
La temperatura media del aire en octubre fue de 10,7 °C, lo que supera en 0,6 °C el promedio del mes anterior y es similar al promedio histórico para esta zona. Esto marca el tercer mes consecutivo en que se supera la anomalía negativa observada entre abril y julio. El promedio de las temperaturas máximas absolutas del mes fue de 23,1 °C, superando los 21,4 °C registrados en septiembre. La temperatura máxima absoluta fue de 24,6 °C, registrada en la comuna de Teodoro Schmidt. Por otro lado, la temperatura promedio de las mínimas absolutas fue de 2,5 °C, con un mínimo de 1,7 °C en el sector de Tranapuente, en la comuna de Carahue. Finalmente, el promedio mensual de episodios de heladas en esta zona mejoró, ya que no se registraron heladas del aire.
La situación de la pluviometría y temperatura media del aire, obtenida en el secano interior de la región se muestra en un clima diagrama en un horizonte de tiempo que abarca desde enero 2023 al mes de octubre de 2025.

Figura 2. Clima diagrama con datos meteorológicos obtenidos de Estación Meteorológica de San Rafael.
Este mes de octubre, las precipitaciones en el secano interior mostraron una disminución, registrando un promedio de 34,7 mm. Al comparar esta cifra con el promedio histórico del mes (45,4 mm), se observa un déficit del 23,5% este mes A pesar de este déficit mensual significativo, el registro pluviométrico acumulado durante el año hasta la fecha es de 621,2 mm. Comparado con el acumulado histórico (708,0 mm), esto representa un balance pluviométrico acumulado con deficit menor, alcanzando solo un 12,3%. Dentro de esta zona, la comuna de Chol Chol, ubicada al sur, registró la mayor contribución al acumulado histórico este mes con 48,1 mm, mientras que Los Sauces tuvo la menor con 27,1 mm.
La temperatura media del aire alcanzó los 11,8°C este mes, lo cual coincide con la temperatura media histórica para esta época del año y supera los 10,3°C registrados el mes anterior. Hemos observado estas condiciones de temperatura más benignas desde el mes de julio en esta zona.
La temperatura promedio de las máximas absolutas aumentó de 23,5°C el mes pasado a 25,1°C este mes. Del mismo modo, la temperatura mínima absoluta también mostró una tendencia similar, alcanzando los 0,4°C.
Como resultado, hemos notado una disminución en el promedio de heladas en el sector, pasando de 2,0 a 0,5 episodios por mes. La temperatura mínima absoluta se registró nuevamente en Lumaco con -0,3°C. Por su parte, la comuna de Purén fue la que presentó el mayor número de días con heladas, registrando 2 días durante el mes.
La situación de la pluviometría y temperatura media del aire, obtenida en el Valle secano de la región se muestra en un clima diagrama en un horizonte de tiempo que abarca desde enero 2023 al mes de octubre de 2025.

Figura 3. Clima diagrama con datos meteorológicos obtenidos de Estación Meteorológica INIA Carillanca.
Las precipitaciones de octubre en la zona del Valle secano, alcanzaron un registro de 55,0 mm, lo que representa un 35% menos que el promedio histórico para el mes (85,1 mm). Dentro de esta zona, la comuna con el mayor aporte de precipitación fue Pitrufquén (77,7 mm), mientras que la comuna de Temuco registró el menor nivel (45,9 mm). Finalmente, la precipitación acumulada del año 2025 a la fecha es de 1023,0 mm, lo que indica un déficit del 12,8% en comparación con el promedio histórico acumulado de 1172,5 mm.
La temperatura media del aire se situó en 11,0 °C, lo que representa una anomalía positiva significativa respecto del mes anterior (8,6 °C) y se encuentra 0,6 °C por encima de la media histórica (10,6 °C) del mes. En cuanto a las temperaturas extremas, el promedio de las máximas absolutas alcanzó los 24,7 °C, superando los 23,1 °C del mes anterior. En contraste, el promedio de las mínimas absolutas subió ligeramente de -1,5 °C a 0,1 °C.
A pesar de que la amplitud térmica se mantuvo similar a la del mes anterior, la anomalía positiva de la temperatura general se correlacionó con una disminución en la incidencia promedio de heladas en el valle del secano, pasando de 3,4 a 1,1 eventos promedio al mes. Cabe destacar que la comuna de Vilcún fue nuevamente la que más contribuyó a este promedio, registrando 4 episodios de heladas durante el periodo.
La situación de la pluviometría y temperatura media del aire, obtenida en pre cordillera de la región se muestra en un clima diagrama en un horizonte de tiempo que abarca desde enero 2023 al mes de octubre de 2025.

Figura 4. Clima diagrama con datos meteorológicos obtenidos de Estación Meteorológica de San Luis.
En general, esta área de precordillera registra los mayores volúmenes de precipitación en la región. Sin embargo, el registro de este mes (104,9 mm) muestra un déficit del 30% respecto al promedio histórico para el mes, que es de 149,9 mm. La comuna de Pucón registró el volumen máximo de lluvia de la región y de esta zona en el mes, alcanzando 174,8 mm. Esto contribuye significativamente a los promedios mensuales y acumulados. Respecto al acumulado a la fecha (1.638,7 mm), se mantiene un déficit del 9,3% en comparación con el registro histórico acumulado (1.806,6 mm).
Hemos registrado un repunte importante en las temperaturas promedio desde julio hasta la fecha, alcanzando los 10,4 °C en octubre. Esto no solo supera los 9,1 °C registrados en septiembre, sino que también está por encima de la media histórica para el mes de octubre (9,1 °C). En cuanto a los extremos, la temperatura promedio de las máximas absolutas se incrementó de 24,2 °C a 26,4 °C. Similarmente, la temperatura promedio de las mínimas absolutas subió de -2,4 °C a -0,4 °C. Como resultado de estos cambios, la amplitud térmica en esta área agroecológica, se observó un aumento de 0,2 °C, lo cual ha tenido un impacto directo en la frecuencia de las heladas. El promedio de episodios de heladas disminuyó de 4,3 a 1,8 este mes. Dentro de la precordillera, la comuna de Curacautín registró el mayor número de días con heladas, con 5 episodios en el mes.
Balance hídrico general
Las pluviometrías (Pp) y evapotranspiración en condiciones de referencia (ETo) acumuladas en el mes de octubre 2025 se muestran en el Cuadro 2. En general, el balance hídrico estuvo por debajo del consumo de agua de un pasto en referencia (balance hídrico negativo) en todas las zonas agroecológicas evaluadas, menos en la zona Precordillerana. Además, los valores acumulados hasta octubre 2025 (valores entre paréntesis) han estado con balances hídricos positivos con valores entre 29,7 y 67,1%, a excepción de la zona de Secano interior que estuvo negativo. Los suelos de La Araucanía son bien diversos, por lo que se debiera estar revisando si no hay humedad volumétrica en exceso en el suelo para evitar anegamientos innecesarios, y empezar a revisar la humedad volumétrica del suelo enfocado al reservorio de este en el suelo para comenzar la temporada agrícola de riego en los diferentes sistemas productivos de la región.
Cuadro 2. Resumen de las pluviometrías y evapotranspiración en condiciones de referencia (ETo) acumuladas en el mes de octubre 2025 para 4 zonas agroecológicas representativas de la Región de La Araucanía. (Datos entre paréntesis es el valor y porcentaje acumulado desde enero a octubre del 2025).
|
Zona agroecológica |
Lluvia acumulada (mm) |
ETo Acumulada (mm) |
Balance hídrico general (%) |
|
Secano costero |
73,7 (1.083,6) |
77,9 (540,1) |
-5,4 (50,1) |
|
Secano interior |
38,6 (648,1) |
87,8 (654,5) |
-56,0 (-1,0) |
|
Valle secano |
49,4 (885,8) |
82,7 (622,9) |
-40,2 (29,7) |
|
Precordillera |
84,4 (1.490,7) |
80,8 (490,8) |
4,3 (67,1) |
Por su parte, en la Figura 5 se puede apreciar que desde el año 2016 el balance hídrico es positivo entre los meses de mayo-agosto a diferencia del año 2022, 2023, 2024 y 2025 que la ventana hídrica ha estado positiva desde abril. Hay que considerar que los periodos de mayor demanda hídrica por parte de la atmósfera (aún entre los meses de octubre a febrero) están siendo cada vez más variables y recurrentes en cuanto a los aportes y pérdidas del balance hídrico en la región de La Araucanía. En comparación al año 2022, el mes de agosto y septiembre del año 2023 y 2024 han presentado un balance hídrico general más positivo. Así, con esta información se hace muy necesario incorporar una cultura hídrica de gestión del agua intrapredial y extrapredial para poder adelantarse y mitigar lo más posible las deficiencias y excesos de agua natural que se pueden presentar en el sector silvoagropecuario. Además, el mes de enero y febrero del 2023 y 2024 han sido los más negativos hasta la fecha en magnitud (es decir, más secos) con -139; 126, y -129; -126 mm para los últimos 11 años evaluados, respectivamente. Es decir, los extremos de cada temporada de riego han sufrido más variabilidad en los aportes (lluvia) y pérdidas hídricas (evapotranspiración, ET). Cabe mencionar que el mes de diciembre 2023 vuelve hacer negativo con -62,0 mm de desbalance entre la lluvia y la ETo. Sin embargo, para el mes de octubre 2025, se observó un balance hídrico positivo (63 mm) como ha estado ocurrido en diferentes magnitudes desde el año 2015. Lo anterior, indica que los riegos ya debieran ser aplicados a partir de septiembre/octubre en delante de acuerdo a los registros históricos de los últimos 11 años hasta el mes de marzo e incluso abril dependiendo de la temporada agrícola.

Figura 5. Balance hídrico promedio general de los últimos 11 años observados entre enero y diciembre para la localidad de Carillanca, Vilcún, Región de La Araucanía.
Evapotranspiración de referencia (ETo)
En palabras sencillas, la evapotranspiración en condiciones de referencia nos indica el consumo de agua de un pasto siempre verde en activo crecimiento y bajo condiciones óptimas de manejo agronómico. Así, durante todo el año 2020 e inicios del 2023 y 2024, se ha observado que el acumulado ha sido el más seco comparado a los últimos 11 años evaluados. Sin embargo, el valor de ETo acumulado hasta el mes de octubre 2025 ha sido el tercero más alto registrado entre los años 2015 y 2025. Por otro lado, el valor de mayor a menor ETo acumulada en octubre 2025 fue de 685,9 mm; 627,8 mm; 623,0 mm; 619,8 mm; 614,4 mm; 614,4 mm; 586,5 mm; 554,2 mm; 541,0 mm; 514,7 y 499,1 mm para los años 2015, 2023, 2025, 2024, 2021, 2019, 2022, 2015, 2018, 2016 y 2017, respectivamente (Figura 6). Finalmente, la tendencia del valor en el mes de octubre 2025 está entre los años 2023 y 2024.

Figura 6. Evapotranspiración acumulada bajo una condición de referencia para los últimos 11 años desde enero hasta diciembre en la localidad de Carillanca, Vilcún, Región de La Araucanía.
Complementariamente, la ETo máxima (Figura 7) evidenciada en el mes de octubre 2025 de mayor a menor fue de 5,09; 4,40; 4,38; 4,30; 4,20; 4,10; 3,93; 3,86; 3,83; 3,62 y 3,37 mm/día para los años 2025, 2018, 2023, 2019, 2020, 2022, 2016, 2024, 2021, 2015 y 2017, respectivamente. Así, la cantidad de agua máxima que estuvo evapotranspirando el pasto en referencia en el mes de octubre 2025 ha estado variando entre 3,37 y 5,09 mm/día (33,7 y 50,9 m3/ha/día) para los 11 años evaluados. Finalmente, el mes de octubre del 2025 fue el más seco para ETo máxima, estando muy por encima de lo registrado desde el año 2015 de los 11 años evaluados.

Figura 7. Evapotranspiración máxima en una condición de referencia por mes para los últimos 11 años desde enero hasta diciembre para la localidad de Carillanca, Vilcún, Región de La Araucanía.
Cabe mencionar que, aún existe suficiente humedad de suelo en algunos sectores de La Araucanía, por lo que se sugiere la realización de algún seguimiento de ésta, para así, adelantarse a la toma de decisiones que se puedan necesitar en el predio y saber con cuanta humedad volumétrica están los suelos para comenzar la temporada agrícola. Además, acumulativamente desde enero a octubre 2025 ha estado más seco en el Secano interior, por lo que se debe estar pendiente de las humedades óptimas para las distintas labores culturales en los sistemas agrícolas y ganaderos.
Estos datos de caudal reflejan la condición fluvial del mes de octubre, principalmente debido a la disminución de las precipitaciones que lo hicieron en un 23% en comparación con el histórico del mes.
En cuanto al río Cautín, el caudal (Q) observado en la estación de Cajón al 4 de noviembre de 2025 fue de 97,06 m³/s. Esta cifra presenta una disminución del 37% de Q respecto del medido a inicios del mes anterior (154,71 m³/s) y se sitúa ligeramente bajo el promedio de los últimos 10 años para este mes, que es de 103,91 m³/s.
En la misma fecha, el caudal (Q) en el río Cautín, pero en la localidad de Rariruca, fue de 69,18 m³/s. Históricamente, este valor es inferior al registrado en Cajón (97,06 m³/s) y es muy inferior al Q observado el mes anterior (101,85 m³/s) y ligeramente al promedio de los últimos 10 años para la estación de Rariruca (78,52 m³/s).

Figura 8. Caudal (Q), medio mensual en el río Cautín de la región de La Araucanía.
El caudal (Q) mensual del río CholChol, medido en la localidad homónima, presentó un valor de 67,31 m³/s al inicio de noviembre de 2025. Este caudal también ha disminuido en este río desde el mes anterior (126,08 m³/s) y se sitúa levemente respecto el registro promedio de los últimos 10 años, que es de 68,93 m³/s.

Figura 9. Caudal (Q), medio mensual en el río Cholchol de la región de La Araucanía.
Destacar que el caudal (Q) del río Toltén es el mayor observado históricamente en la región. La medición efectuada en la localidad de Teodoro Schmidt a principios de noviembre de 2025 muestra un caudal de 397,17 m³/s. Este valor representa una disminución del 38,5% en comparación con el caudal medido a principios del mes anterior, que fue de 646,69 m³/s y también lo hace en un 26,9% respecto del Q promedio de los últimos 10 años (472,70 m³/s).
Precordillera > Cultivos > Papas
En este territorio se iniciaron las plantaciones de papas, en forma importante, a partir de mediados de octubre y se ha mantenido a un ritmo lento, producto de las lluvias intermitentes.
Hasta fines de octubre, aun había agricultores comerciales que estaban cosechando y comercializando papa.
Se reitera que las condiciones de presión del tizón tardío de la papa van a mantener altas, puesto que las condiciones climáticas de lluvias intermitentes, favorece esta condición Se recomienda especial cuidado en la prevención de la enfermedad y en efectuar el control en los momentos adecuados.
Algunos agricultores productores de papa indican que han experimentado pérdidas. Es importante señalar que estas pérdidas no se deben a condiciones climáticas adversas, sino a una coyuntura de mercado. Específicamente, los precios de venta se han mantenido por debajo del margen de ganancia requerido.
Precordillera > Cultivos > Trigo y Tritricale
En la zona de precordillera, como ser Curacautín, Melipeuco, Pucón, Villarrica, Lonquimay, Cunco y Curarrehue, se observaron precipitaciones más altas, sobre los 174mm como fue el caso de Pucón, pero en general y como promedio las comunas no superaron los 80mm, estas cantidades están muy por debajo de un año normal, a pesar de lo anterior, todas ellas muestran un déficit respecto a la temporada anterior y al promedio histórico. Es importante destacar que Pucón, es una de las más húmedas de la región, junto con Villarrica y Curarrehue.
Los laboreos de suelo, las últimas siembras de primavera y las aplicaciones de químicos no se han visto alterados ni atrasadas ya que el clima de la región estuvo adecuado para realizar las actividades de fertilización, control de enfermedades y malezas. Eso sí, preocupa que falte el agua ya que noviembre por lo general ha sido seco algunos años. Esto hace pensar que cuando los trigos entren en floración puede haber un efecto sobre el llenado de grano por falta de agua en el suelo, sobretodo en localidades de suelos arcillosos y transicionales, si es que no cae una buena lluvia en los días de noviembre.
Precordillera > Ganadería
Invierno duro debido a lo extenso de las bajas temperaturas y por tanto un rebrote tardío de las praderas, los animales podrían llegar con menos peso al encaste debido a la falta de alimentación y el caso de las vacas paridas, por estar en lactancia. Frente a la falta de pradera, debe suplementarse la masa ganadera con heno y concentrado a fin de recuperar condición corporal. Esto es especialmente delicado en vaquillas. Debe realizarse la selección de las vacas que serán eliminadas vía venta del rebaño criancero y reemplazadas por las vaquillas. Generalmente, vaquillas de raza pequeña (Hereford o Angus) no deben inseminarse con menos de 280 kilos de peso vivo, Overos Negros o Colorados, el peso de la cubierta debe ser mayor a 330 kilos de peso vivo. Vaquillas o vacas pequeñas deben inseminarse con toros de tamaño pequeño a fin de no tener problemas de partos distócicos. Aquellos que usan toros de monta deben ser revisados y asegurarse que el estado nutricional y sanitario corresponde a un animal sano. La proporción de toros y vacas es de 1 toro por cada 25 a 30 vacas, o bien un 3% del rebaño total. Considerar que un toro no debe permanecer mas de 4 a 5 temporadas activo en un rebaño. Aquellos que utilizan inseminación artificial deben considerar como regla de oro que: “observación del celo en la mañana, inseminación de la vaca en la tarde y observación del celo en la tarde, inseminación de la vaca temprano en la mañana”. El cálculo de cuantas dosis es requerido es de acuerdo con el número de vacas a encastar corregidas por el índice de cubiertas. Por las bajas temperaturas el ataque de mosca de los cuernos se encuentra retrasado, sin embargo, debe monitorearse su aparición. Así mismo es posible realizar aplicaciones anti-parasitaciones en el rebaño bovino.
Al igual que los bovinos de carne, puede realizarse la selección de ovejas que serán eliminadas vía venta siendo reemplazadas por nuevas borregas. A partir de este mes se puede realizar la esquila general y esquilas ojos en ovinos junto con aplicación de antiparasitarios externos (baño). Se deben tomar medidas para evitar el ataque de perros asilvestrados.
Precordillera > Praderas
Al igual que el mes anterior, en octubre no se observó un aumento significativo de las praderas permanente, por lo que los cultivos suplementarios han sido un gran respaldo para la alimentación animal. Teniendo esto en cuenta, evitar el sobrepastoreo de las praderas, evitando el consumo del nuevo crecimiento de las plantas, que favorece el debilitamiento de la pradera y la aparición de malezas y suelo descubierto. Dar un tempo de recuperación (rezago) de la pradera suficiente para favorecer el crecimiento vigoroso de la pradera.
Dado el bajo crecimiento de las praderas, en algunos sectores aún se hace necesario entregar forraje conservado a los animales, ya que se encuentran en un periodo de alta demanda de forraje, como son los primeros 3 meses posparto.
Durante el invierno y lo que va de primavera se ha observado una temperatura media entre 1 y 2 °C más alta que el promedio histórico. Esto, sumado al déficit hídrico que presenta la precordillera, prevé un verano seco y caluroso, reduciendo la disponibilidad de forraje para conservación y pastoreo.
Definir la superficie que se debe rezagar para conservación de forraje como heno.
Finalmente, estamos a tiempo para realizar las siembras de cultivos suplementarios de verano, de acuerdo a la estimación final de necesidades de alimentación estival.
Secano Costero > Cultivos > Papas
Las condiciones de clima en la zona, con lluvias intermitentes, ha disminuido la cosecha de papa nueva, unido al desincentivo producto de los bajos precios de venta. Cabe señalar que la papa nueve se cosecha inmadura y por lo tanto aun esta en crecimiento; cuando el precio es bajo, los agricultores no cosechan y dejan que el cultivo siga creciendo. En ese sentido, se espera que mejore el precio y que aumente el rendimiento. Cosechas realizadas en la zona indican rendimiento por sobre las 25 t/ha, considerado muy bueno en papa temprana. Puesto que ha continuado lloviendo, se espera que los rendimientos mejoren.
Como el precio de venta de la papa nueva está bajo ($ 5.000.- por saco de 25 kg), el ritmo de cosecha se mantiene lento, quedando papa por cosechar.
Algunos agricultores productores de papa indican que han experimentado pérdidas. Es importante señalar que estas pérdidas no se deben a condiciones climáticas adversas, sino a la coyuntura de mercado. Específicamente, los precios de venta se han mantenido por debajo del margen de ganancia requerido.
La mantención de lluvias intermitentes, con mayores temperaturas, tambien ha significado que se siguen mantenido las condiciones de alta presión de tizón tardío en los cultivos. A fines de octubre se reportaron pérdidas de cultivos en el sector de Isla Huapi, en Puerto Saavedra.
La plantación de papa de mediana estación se ha mantenido y se estima que la plantación de papa de tarde en el sector de lomajes altos y en el sector de vegas se retrase aún más.
Secano Costero > Cultivos > Trigo y Tritricale
En el Secano costero (Carahue, Pto Saavedra, Toltén y Teodoro Schmidt), las condiciones fueron similares para la zona, sin embargo las precipitaciones lograron superar los 50mm., en la mayoría de las comunas. Las actividades de manejo, sin embargo, se han desarrollado sin problemas.
Los laboreos de suelo, las últimas siembras de primavera y las aplicaciones de químicos no se han visto alterados ni atrasadas ya que el clima de la región estuvo adecuado para realizar las actividades de fertilización, control de enfermedades y malezas. Eso sí, preocupa que falte el agua ya que noviembre por lo general ha sido seco algunos años. Esto hace pensar que cuando los trigos entren en floración puede haber un efecto sobre el llenado de grano por falta de agua en el suelo, sobretodo en localidades de suelos arcillosos y transicionales, si es que no cae una buena lluvia en los días de noviembre.
Se sugiere no intentar seguir sembrando ya que las condiciones de déficit hídrico comienzan a aumentar, excepto si se tiene riego. Para ello considerar una variedad de primavera y muy precoz, se sugiere revisar la cartilla de recomendación de las empresas productoras de semilla.
Es importante considerar las aplicaciones de herbicidas para el control de la maleza, las condiciones de precipitaciones y humedad de los suelos ayudan y potencian el desarrollo de malezas. Posiblemente habrá que considerar una nueva aplicación de herbicidas por re infestación de las mismas.
Considerar una aplicación de fungicidas ya que las condiciones de la primavera hacen factible el ataque de enfermedades como ser septoria y royas, especialmente en triticales.
Secano Costero > Ganadería
Actividad normal en plena época de encaste de primavera. En este mes es el momento ideal para seleccionar las vacas que serán eliminadas del rebaño criancero y que serán reemplazadas por las vaquillas de crianza. Aquellos que usan toros de monta deben revisarlos y asegurarse que el estado nutricional y sanitario corresponde a un animal sano. La proporción de toros en monta natural en un rebaño es de 1 toro por cada 25 a 30 vacas, o el equivalente al 3,0% del rebaño total.
Debe así mismo considerar que un toro no debe permanecer mas de 4 a 5 temporadas activo en un rebaño por aumento del riesgo de consanguinidad. Vaquillas o vacas pequeñas deben inseminarse con toros de tamaño pequeño a fin de no tener problemas de partos distócicos. Dependiendo de la raza, pero en general vaquillas de raza pequeña (Hereford o Angus) no deben inseminarse con menos de 280 kilos de peso vivo, en el caso de Overos Negros o Colorados, el peso de la cubierta debe ser mayor a 330 kilos de peso vivo. Aquellos que utilizan inseminación artificial deben considerar como regla de oro que: “observación del celo en la mañana, inseminación de la vaca en la tarde y observación del celo en la tarde, inseminación de la vaca temprano en la mañana”. Adicionalmente, el numero de dosis de semen debe ser ajustada de acuerdo al índice de cubiertas histórico y al numero de vacas a encastar. Debe comenzar a monitorearse la aparición de la mosca de los cuernos. Así mismo es posible realizar antiparasitaciones en el rebaño bovino.
Al igual que los bovinos de carne, puede realizarse la selección de ovejas que serán eliminadas vía venta siendo reemplazadas por nuevas borregas. A partir de este mes se puede realizar la esquila general y esquilas de ojos en ovinos junto con aplicación de antiparasitarios externos (baño). Se deben tomar medidas para evitar el ataque de perros asilvestrados a los rebaños ovinos. Ya es posible aplicar antiparasitarios y si los animales tienen condición corporal normal, vitaminas.
Secano Costero > Praderas
Las praderas naturalizas han mostrado un crecimiento lento, en gran parte por las bajas temperaturas y la saturación hídrica de las zonas de vega . Las pasturas de rotación han tenido un buen crecimiento y han servido de apoyo a la alimentación del ganado. Como el crecimiento de las praderas ha sido menor al esperado, se debe monitorear el pastoreo para evitar el sobrepastoreo que retrasará aún más el buen crecimiento de la pradera. Aquellos potreros que alcanzaron a ser fertilizados han mostrado un buen crecimiento.
Dado el lento crecimiento de las praderas, en algunos sectores aún se hace necesario entregar forraje conservado a los animales, ya que se encuentran en un periodo de alta demanda de forraje, como son los primeros 3 meses posparto.
Debido a las condiciones de temperatura y humedad, aún es tiempo de realizar siembras de cultivos suplementarios de verano.
Finalmente, se debe rezagar los potreros que van a conservación de forraje como heno y durante este mes evaluar si es posible hacer un corte para la elaboración de silos tipo bolo.
Secano Interior > Cultivos > Papas
Al igual que lo informado durante el mes de octubre, las condiciones climáticas, con lluvias intermitentes y las condiciones comerciales, con bajos precios, han retrasado las plantaciones de papas en la zona. Se confirma una disminución notoria de las intenciones de plantación en este sector.
Se reitera que las condiciones de presión del tizón tardío de la papa van a mantener altas, puesto que las condiciones climáticas de lluvias intermitentes, favorece esta condición Se recomienda especial cuidado en la prevención de la enfermedad y en efectuar el control en los momentos adecuados.
Secano Interior > Cultivos > Trigo y Tritricale
Para la zona del secano interior (Galvarino, Chol Chol, Imperial, Traiguén, Renaico, Purén, Angol, Los Sauces y Lumaco) la pluviometría osciló entre los 28,9mm hasta los 38,6mm con un número mínimo de días con heladas, mostrando valores positivos en general en todas las comunas del sector. Todas las comunas presentan un déficit hídrico a la fecha con la excepción de Angol. Las actividades agrícolas se pudieron realizar sin mayores contratiempos.
Es importante considerar las aplicaciones de herbicidas para el control de la maleza, las condiciones de precipitaciones y humedad de los suelos han ayudado y potenciado el desarrollo de malezas. Posiblemente habrá que considerar una nueva aplicación de herbicidas por re infestación de las mismas.
Considerar una aplicación de fungicidas ya que las condiciones de la primavera hacen factible el ataque de enfermedades como ser septoria y royas, especialmente en triticales.
Secano Interior > Ganadería
Similar situación del secano costero, puede realizarse la selección de las vacas que serán eliminadas vía venta del rebaño criancero y reemplazadas por las vaquillas de crianza. Plena época de encaste. Aquellos que usan toros de monta deben revisarlos y asegurarse que el estado nutricional y sanitario corresponde a un animal sano. La proporción de toros y vacas es de 1 toro por cada 25 a 30 vacas, o bien un 3% del rebaño total. Debe así mismo considerar que un toro no debe permanecer mas de 4 a 5 temporadas activo en un rebaño. Generalmente, vaquillas de raza pequeña (Hereford o Angus) no deben inseminarse con menos de 280 kilos de peso vivo, en el caso de Overos Negros o Colorados, el peso de la cubierta debe ser mayor a 330 kilos de peso vivo. Vaquillas o vacas pequeñas deben inseminarse con toros de tamaño pequeños a fin de no tener problemas de partos distócicos. Aquellos que utilizan inseminación artificial deben considerar como regla de oro que: “observación del celo en la mañana, inseminación de la vaca en la tarde y observación del celo en la tarde, inseminación de la vaca temprano en la mañana”. El cálculo de cuantas dosis de semen es requerido es de acuerdo con el número de vacas a encastar corregidas por el índice de cubiertas. Debe monitorearse la aparición de la mosca de los cuernos. Así mismo es posible realizar anti-parasitaciones en el rebaño bovino.
Al igual que los bovinos de carne, puede realizarse la selección de ovejas que serán eliminadas vía venta siendo reemplazadas por nuevas borregas. A partir de este mes se puede realizar la esquila general y esquilas ojos en ovinos junto con aplicación de antiparasitarios externos (baño). Se deben tomar medidas para evitar el ataque de perros asilvestrados a los rebaños ovinos.
Secano Interior > Praderas
El secano presenta un déficit hídrico de un 12% promedio y con presencia de heladas, retrasando el crecimiento de las praderas naturalizadas, disminuyendo la disponibilidad de forraje para pastoreo y aumentando el riesgo de sobrepastoreo.
Se espera un aumento en la tasa de crecimiento durante este mes, para poder realizar la cosecha de forraje durante el diciembre. El rendimiento que se obtenga va a estar en directa relación con la disponibilidad de agua para la pradera y la fertilidad del suelo.
Valle Secano > Cultivos > Papas
En este territorio se iniciaron las plantaciones de papas, en forma importante, a partir de mediados de octubre y se ha mantenido a un ritmo lento, producto de las lluvias intermitentes.
Hasta fines de octubre, aun había agricultores comerciales que estaban cosechando y comercializando papa a precios que no han logrado mejorar y que por cierto no se logra obtener los costos de producción. Indican que han experimentado pérdidas. Es importante señalar que estas pérdidas no se deben a condiciones climáticas adversas, sino a una coyuntura de mercado. Específicamente, los precios de venta se han mantenido por debajo del margen de ganancia requerido.
Se reitera que las condiciones de presión del tizón tardío de la papa van a mantener altas, puesto que las condiciones climáticas de lluvias intermitentes, favorece esta condición Se recomienda especial cuidado en la prevención de la enfermedad y en efectuar el control en los momentos adecuados.
Valle Secano > Cultivos > Trigo y Tritricale
Todas las comunas mantienen un déficit hídrico la cual es de mediana magnitud, pudiendo recuperarse con las lluvias de noviembre que debieran ser, seso si, mayores a 20mm. Las heladas, que llegaron a muy baja intensidad, no han producido daño en el tejido foliar observándose buenas siembras en general y de buen color y con buen desarrollo. Del mismo modo, las actividades respeto a la aplicación de herbicidas y parcializaciones del nitrógeno no se han visto alteradas ni tampoco atrasadas respecto a la planificación normal. Los suelos se han mantenido con adecuada humedad, lo que no ha provocado apozamientos ni escurrimientos. La aplicación del nitrógeno como ultima parcialización se esta realizando en buen momento (fines macolla-primer nudo) en los trigos sembrados temprano. El control de la maleza se esta realizando a tiempo y de forma adecuada. Se considera observar por posiblemente nuevas aplicaciones debido al rebrote.
Es importante considerar posiblemente una nueva aplicación de herbicidas por re infestación de las mismas.
Considerar una aplicación de fungicidas ya que las condiciones de la primavera hacen factible el ataque de enfermedades como ser septoria y royas, especialmente en triticales.
Valle Secano > Ganadería
Situación normal en inicio de época de encaste. Como en los otros sectores, aquellos que usan toros de monta deben revisarlos y asegurarse que el estado nutricional y sanitario corresponde a un animal sano. La proporción de toros y vacas es de 1 toro por cada 25 a 30 vacas, o bien un 3% del rebaño total. Considerar que un toro no debe permanecer mas de 4 a 5 temporadas activo en un rebaño. Además, debe realizarse la selección de las vacas que serán eliminadas vía venta del rebaño criancero y reemplazadas por las vaquillas de crianza. Vaquillas de raza pequeña (Hereford o Angus) no deben inseminarse con menos de 280 kilos de peso vivo, por otro lado, el peso de la cubierta para Overos Negros o Colorados debe ser mayor a 330 kilos de peso vivo. Vaquillas o vacas pequeñas deben inseminarse con toros de tamaño pequeño a fin de no tener problemas de partos distócicos. Aquellos que utilizan inseminación artificial deben considerar como regla que: “observación del celo en la mañana, inseminación de la vaca en la tarde y observación del celo en la tarde, inseminación de la vaca temprano en la mañana”. El cálculo de cuantas dosis de semen es requerido es de acuerdo al numero de vacas a encastar corregidas por el índice de cubiertas. Debe comenzar a monitorearse la aparición de la mosca de los cuernos. Así mismo, es posible realizar aplicaciones de antiparásitos en el rebaño bovino.
Al igual que los bovinos de carne, puede realizarse la selección de ovejas que serán eliminadas vía venta siendo reemplazadas por nuevas borregas. A partir de este mes se puede realizar la esquila general y esquilas ojos en ovinos junto con aplicación de antiparasitarios externos (baño).
Valle Secano > Praderas
Al igual que las otras zonas agroclimáticas, se presenta un déficit hídrico con temperaturas más altas que la media. Estas condiciones favorecen un corto periodo de crecimiento de las praderas y un menor rendimiento.
Ya se realizó la primera cosecha de forraje para silo tipo bolo y las praderas se encuentran nuevamente en rezago para una segunda cosecha en diciembre/enero. En aquellas praderas y pasturas a pastoreo, monitorear el pastoreo a fin de evitar el sobrepastoreo, que retrasa el rebrote de la pradera. Todavía estamos a tiempo de realizar siembras de cultivos suplementarios de verano, ya sea nabo o raps forrajero. En caso de disponer de riego, esta fecha se puede ampliar. Mantener el rezago de las empastadas destinadas a conservación de forraje.
Los sectores de riego ya han comenzado la temporada de riego. Realizar una revisión y mantención permanente de los equipos para evitar retrasos en las tareas programadas.
Respecto de la respuesta fisiológica de las plantas al efecto del clima, las imágenes satelitales reflejan la magnitud del crecimiento o disminución de la cobertura vegetal en esta época del año mediante el índice de vegetación NDVI (Desviación Normalizada del Índice de Vegetación).
Para esta quincena se observa un NDVI promedio regional de 0.8 mientras el año pasado había sido de 0.78. El valor promedio histórico para esta región, en este período del año es de 0.75.
El resumen regional en el contexto temporal se puede observar en el siguiente gráfico.
/R09_NDVI_barras_regional.png)
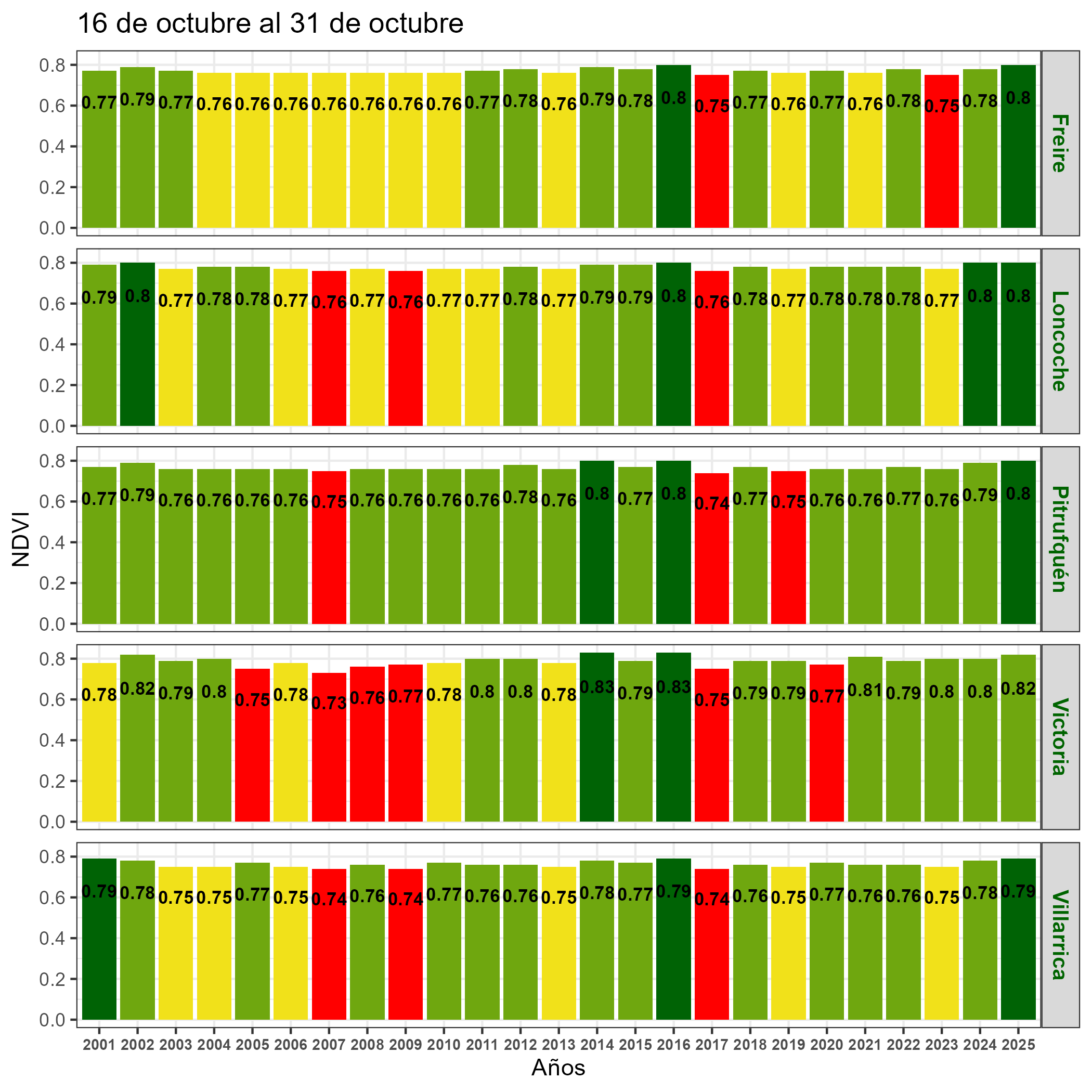
La situación por comunas se presenta en el siguiente gráfico, donde se presentan las comunas con índices más bajos.
/R09_NDVI_barras_comunas.png)
/R09_NDVI.png)
/R09_ANOMALIA_NDVI.png)
/R09_DIFERENCIA_NDVI.png)
Para el monitoreo del estado de la vegetación en la Región se utilizó el índice de condición de la vegetación, VCI (Kogan, 1990, 1995). Este índice se encuentra entre valores de 0% a 100%. Valores bajo 40% se asocian a una condición desfavorable en la vegetación, siendo 0% la peor condición histórica y 100% la mejor (tabla 1).
En términos globales la Región presentó un valor mediano de VCI de 87% para el período comprendido desde el 16 al 31 de octubre. A igual período del año pasado presentaba un VCI de 75% (Fig. 1). De acuerdo a la Tabla 1 la Región de La Araucanía, en términos globales presenta una condición Favorable.
Tabla 1. Clasificación de la condición de la vegetación de acuerdo a los valores del índice VCI.

Tabla 2. Resumen de la condición de la vegetación comunal en la Región de acuerdo al análisis del índice VCI.
 (En Evaluación)/R09_RESUMEN_VCI.png)
 (En Evaluación)/R09_VCI_barras_regional.png)
Figura 1. Valores del índice VCI para el mismo período entre los años 2000 al 2022 para la Región de La Araucanía
 (En Evaluación)/R09_VCI_barras_regional_Matorrales.png)
Figura 2. Valores promedio de VCI en Matorrales en la Región de La Araucanía
 (En Evaluación)/R09_VCI_barras_regional_Praderas.png)
Figura 3. Valores promedio de VCI en praderas en la Región de La Araucanía
 (En Evaluación)/R09_VCI_barras_regional_Agrícolas.png)
Figura 4. Valores promedio de VCI en terrenos de uso agrícola en la Región de La Araucanía
 (En Evaluación)/R09_VCI.png)
Figura 5. Valores comunales promedio de VCI en la Región de La Araucanía de acuerdo a la clasificación de la Tabla 1.
Las comunas que presentan los valores más bajos del índice VCI en la Región corresponden a Loncoche, Villarrica, Pitrufquén, Victoria y Freire con 79, 80, 80, 80 y 81% de VCI respectivamente.
 (En Evaluación)/R09_VCI_barras_comunas.png)
Figura 6. Valores del índice VCI para las 5 comunas con valores más bajos del índice del 16 al 31 de octubre.
A continuación se presenta la predicción del VCI para los próximos 3 meses:
 (En Evaluación)/R09_VCI_prediccion_20251117.png)
Figura 7. Predicción del VCI para el período del 17 de noviembre al 2 de diciembre de 2025.
 (En Evaluación)/R09_VCI_prediccion_20251219.png)
Figura 8. Predicción del VCI para el período del 19 de diciembre al 3 de enero de 2025.
 (En Evaluación)/R09_VCI_prediccion_20260120.png)
Figura 9. Predicción del VCI para el período del 20 de enero al 4 de febrero de 2025.