
Boletín Nacional de Análisis de Riesgos Agroclimáticos para las Principales Especies Frutales y Cultivos y la Ganadería
OCTUBRE 2025 — REGIÓN AYSÉN
Autores INIA
Diego Arribillaga G., Ing. Agr., Tamelaike
Rodrigo Neculmán C., Ing. Agr. Ph.D., Tamel Aike
Jose Daza C., Zootecnista. Msc, Tamelaike
Marcel Fuentes Bustamante, Ingeniero Civil Agrícola MSc., Quilamapu
Jaime Salvo Del Pedregal, Ing. Agrónomo Ph.D, La Cruz
Raúl Orrego, Ingeniero en Recursos Naturales, Dr, Quilamapu
René Sepúlveda, Ingeniero Civil Agrícola (C), Quilamapu
Coordinador INIA: Jaime Salvo Del Pedregal, Ing. Agrónomo Ph.D, La Cruz
La XI Región Aysén del General Carlos Ibáñez del Campo presenta varios climas diferentes: 1 clima de la tundra (ET) en Animales; 2 Clima subpolar oceánico (Cfc) en Ñirehuao, La Ortiga, El Malcal, La Quema; 3 Clima mediterráneo de verano cálido (Csb)en Estancia Río Cisnes, Puerto Ingeniero Ibáñez, Chile Chico, Bahía Jara, Fachinal; 4 Clima subalpino marítimo de verano seco (Csc) en El Frío, Puerto Los Patos, Puerto Los Morros, Lago Solís, Coyhaique Alto; y el que predomina es el clima oceánico (Cfb) en Lago Verde, La Tapera, La Junta, Puerto Raúl Marín Balmaceda, Melinka.
Este boletín agroclimático regional, basado en la información aportada por www.agromet.cl y https://agrometeorologia.cl/ , así como información auxiliar de diversas fuentes, entrega un análisis del comportamiento de las principales variables climáticas que inciden en la producción agropecuaria y efectúa un diagnóstico sobre sus efectos, particularmente cuando estos parámetros exhiban comportamientos anómalos que pueden afectar la cantidad o la calidad de la producción.



Durante el mes de septiembre de 2025 se registraron precipitaciones en la Zona Intermedia, Estepa, Micro clima y Húmeda, las que en promedio fueron de 72,2 mm., 54,8 mm, 16,8 mm., y 271,2 mm., respectivamente, lo que representó una condición de déficit hídrico en todas las macro zonas a excepción de la zona húmeda.
Según el ENOS (El Niño Oscilación del Sur) el pronóstico estacional para los meses de octubre y noviembre, señala precipitaciones para la región de Aysén; “Bajo lo Normal” en Coyhaique, Puerto Aysén y Balmaceda.
Se registró una temperatura media de 6,8°C en la Región, con una mínima media mensual de 2,1 °C y una máxima media mensual de 11,6°C. Sumado a lo anterior, las temperaturas mínimas absolutas registradas en la zona, fueron en promedio de -4°C.
Por otro lado respecto de la temperatura máxima, según el pronóstico estacional para octubre y noviembre, señala que se presentará “Bajo lo Normal” en las localidades de Puerto Aysén y Coyhaique y “Sobre lo Normal” en Balmaceda.
Según este mismo pronóstico, se espera además que la temperatura mínima, se presentará “Bajo lo normal” en Puerto Aysén, Balmaceda y Coyhaique.
CEREZAS
Durante este mes, se realizaron labores de mantención del sistema de control de heladas y revisión de aspersores. Se realizó control químico y mecánico de malezas, además de aplicaciones foliares preventivas para el control de cáncer bacteriano. El ingreso de agentes polinizantes (abejas), se ha realizado cuando existe más de un 5 a 10 % de floración en los cerezos. No se han registrado eventos de heladas durante la segunda quincena de septiembre.
HORTÍCOLA
El paulatino incremento de las temperaturas, permitió comenzar con la elaboración de almácigos y posterior trasplante, además de siembre directa de arveja, haba. Se han realizado labores de control mecánico y químicos en cultivo de ajo.
PAPAS
Durante este mes, comenzaron labores de preparación de suelo y selección del material vegetal (papa semilla).
PRADERAS Y GANADERIA
En septiembre, las tres zonas de Aysén presentaron precipitaciones por sobre lo normal y temperaturas levemente más altas, lo que permitió un rebrote limitado de praderas tras el invierno. Sin embargo, los sistemas ganaderos aún dependen mayormente del forraje conservado, en un período crítico de pariciones que exige una buena condición corporal del ganado. Se recomienda resguardar potreros destinados a corte o siembra, monitorear la calidad de los forrajes y mantener vigilancia frente a problemas sanitarios como Fasciola hepática en los animales y problemas en las praderas por presencia de la cuncunilla negra.
Estación Arroyo el Gato
La estación Arroyo el Gato corresponde al distrito agroclimático 11-12-9. Para este distrito climático la temperatura mínima, media y máxima climatológicas alcanzan los 0.5°C, 4.9°C y 9.3°C respectivamente. Por su parte, respecto a las temperaturas medidas durante el mes de septiembre en la estación: la temperatura mínima alcanzo los 1.5°C (1°C sobre la climatológica), la temperatura media 6.1°C (1.2°C sobre la climatológica) y la temperatura máxima llegó a los 10.9°C (1.6°C sobre la climatológica). En esta localidad, se registraron seis eventosde heladas, con una temperatura mínima absoluta de -5,6°C. En el mes de septiembre se registró una pluviometría de 147 mm, lo cual representa un 196% con respecto al mismo mes de un año normal. De enero a septiembre se ha registrado un total acumulado de 774.1 mm, en circunstancias que un año normal registraría a la fecha 844 mm, lo que representa un déficit de 8.3%. A la misma fecha, durante el año 2024 la precipitación alcanzaba los 170.1 mm.



Estación Bajada Ibañez
La estación Bajada Ibañez corresponde al distrito agroclimático 11-4. Para este distrito climático la temperatura mínima, media y máxima climatológicas alcanzan los 0.8°C, 4.7°C y 8.5°C respectivamente. Por su parte, respecto a las temperaturas medidas durante el mes de septiembre en la estación: la temperatura mínima alcanzo los 2°C (1.2°C sobre la climatológica), la temperatura media 6.4°C (1.7°C sobre la climatológica) y la temperatura máxima llegó a los 10.7°C (2.2°C sobre la climatológica). Sumado a lo anterior, se registraron siete eventos de heladas, con una temperatura mínima absoluta de -2,6°C. En el mes de septiembre se registró una pluviometría de 36.5 mm, lo cual representa un 50.7% con respecto al mismo mes de un año normal. De enero a septiembre se ha registrado un total acumulado de 457.6 mm, en circunstancias que un año normal registraría a la fecha 799 mm, lo que representa un déficit de 42.7%. A la misma fecha, durante el año 2024 la precipitación alcanzaba los 35.6 mm.



Estación Chile Chico
La estación Chile Chico corresponde al distrito agroclimático 11-4. Para este distrito climático la temperatura mínima, media y máxima climatológicas alcanzan los 2.8°C, 7.8°C y 12.8°C respectivamente. Por su parte, respecto a las temperaturas medidas durante el mes de septiembre en la estación: la temperatura mínima alcanzo los 1.6°C (-1.2°C bajo la climatológica), la temperatura media 8°C (0.2°C sobre la climatológica) y la temperatura máxima llegó a los 14.6°C (1.8°C sobre la climatológica). En esta localidad, se registraron seis eventos de heladas, con una temperatura mínima absoluta de -2,8°C. En el mes de septiembre se registró una pluviometría de 9.2 mm, lo cual representa un 57.5% con respecto al mismo mes de un año normal. De enero a septiembre se ha registrado un total acumulado de 266.1 mm, en circunstancias que un año normal registraría a la fecha 222 mm, lo que representa un superávit de 19.9%. A la misma fecha, durante el año 2024 la precipitación alcanzaba los 5.6 mm.



Estación El Claro
La estación El Claro corresponde al distrito agroclimático 11-3. Para este distrito climático la temperatura mínima, media y máxima climatológicas alcanzan los 1.4°C, 6.1°C y 10.8°C respectivamente. Por su parte, respecto a las temperaturas medidas durante el mes de septiembre en la estación: la temperatura mínima alcanzo los 2.5°C (1.1°C sobre la climatológica), la temperatura media 7.1°C (1°C sobre la climatológica) y la temperatura máxima llegó a los 11.8°C (1°C sobre la climatológica). Sumado a lo anterior, se registraron seis eventos de heladas, con una temperatura mínima absoluta de -3,7°C. En el mes de septiembre se registró una pluviometría de 78.9 mm, lo cual representa un 133.7% con respecto al mismo mes de un año normal. De enero a septiembre se ha registrado un total acumulado de 720.9 mm, en circunstancias que un año normal registraría a la fecha 728 mm, lo que representa un déficit de 1%. A la misma fecha, durante el año 2024 la precipitación alcanzaba los 86.6 mm.



Estación La Junta
La estación La Junta corresponde al distrito agroclimático 10-11-1. Para este distrito climático la temperatura mínima, media y máxima climatológicas alcanzan los 2.5°C, 6.7°C y 10.9°C respectivamente. Por su parte, respecto a las temperaturas medidas durante el mes de septiembre en la estación: la temperatura mínima alcanzo los 3.3°C (0.8°C sobre la climatológica), la temperatura media 7.9°C (1.2°C sobre la climatológica) y la temperatura máxima llegó a los 12.8°C (1.9°C sobre la climatológica). Además, se registraron cinco eventos de heladas con una temperatura mínima absoluta de -3,2°C. En el mes de septiembre se registró una pluviometría de 345.9 mm, lo cual representa un 173.8% con respecto al mismo mes de un año normal. De enero a septiembre se ha registrado un total acumulado de 2542.7 mm, en circunstancias que un año normal registraría a la fecha 2050 mm, lo que representa un superávit de 24%. A la misma fecha, durante el año 2024 la precipitación alcanzaba los 387.8 mm.



Estación Ñirehuao
La estación Ñirehuao corresponde al distrito agroclimático 11-3. Para este distrito climático la temperatura mínima, media y máxima climatológicas alcanzan los 0.6°C, 5.2°C y 9.9°C respectivamente. Por su parte, respecto a las temperaturas medidas durante el mes de septiembre en la estación: la temperatura mínima alcanzo los 0.2°C (-0.4°C bajo la climatológica), la temperatura media 5.9°C (0.7°C sobre la climatológica) y la temperatura máxima llegó a los 11.6°C (1.7°C sobre la climatológica). En esta localidad, se registraron nueve eventos de heladas, con una temperatura mínima absoluta de -8,5°C. En el mes de septiembre se registró una pluviometría de 45.9 mm, lo cual representa un 99.8% con respecto al mismo mes de un año normal. De enero a septiembre se ha registrado un total acumulado de 422.6 mm, en circunstancias que un año normal registraría a la fecha 550 mm, lo que representa un déficit de 23.2%. A la misma fecha, durante el año 2024 la precipitación alcanzaba los 64.4 mm.



Estación Tamelaike
La estación Tamelaike corresponde al distrito agroclimático 11-3. Para este distrito climático la temperatura mínima, media y máxima climatológicas alcanzan los 0.8°C, 5.3°C y 9.7°C respectivamente. Por su parte, respecto a las temperaturas medidas durante el mes de septiembre en la estación: la temperatura mínima alcanzo los 2°C (1.2°C sobre la climatológica), la temperatura media 5.9°C (0.6°C sobre la climatológica) y la temperatura máxima llegó a los 9.7°C (Igual la climatológico). Sumado a lo anterior, se registraron siete eventos de heladas, con una temperatura mínima absoluta de -4,0°C. En el mes de septiembre se registró una pluviometría de 78.1 mm, lo cual representa un 93% con respecto al mismo mes de un año normal. De enero a septiembre se ha registrado un total acumulado de 672.9 mm, en circunstancias que un año normal registraría a la fecha 945 mm, lo que representa un déficit de 28.8%. A la misma fecha, durante el año 2024 la precipitación alcanzaba los 83.4 mm.



Zona de Estepa > Ganadería
En septiembre, la Estepa registró 54,8 mm de precipitación, un 37% más que el promedio histórico (40 mm). En Balmaceda se observaron 63,7 mm y en Ñirehuao 45,9 mm. La temperatura media fue de 5,9°C, superior a lo normal (4,3°C), con mínimas y máximas algo más elevadas que el promedio. Aun con estas condiciones térmicas, el crecimiento de praderas sigue siendo mínimo en esta transición de invierno a primavera. Se recomienda revisar el estado del forraje conservado, asegurando su calidad para cubrir los mayores requerimientos nutricionales del ganado en parición. Además, es clave cuidar los potreros destinados a corte, considerando el déficit acumulado del invierno y la posibilidad de una primavera fría.
Zona de Microclima > Cultivos > Papas
Durante el mes de septiembre, las labores se centraron en la planificación productiva del cultivo, incluyendo la toma de muestras de suelo, la selección y preparación del material vegetal, y las primeras labores de preparación del terreno. Se recomendó la prebrotación de los tubérculos mediante exposición a luz difusa, práctica que favorece la formación de brotes cortos, vigorosos y bien distribuidos, optimizando el establecimiento en campo.
Zona de Microclima > Frutales > Cerezo
Durante el mes de septiembre, las condiciones climáticas fueron favorables para el manejo del cultivo e inicio de sus primeros estadios, inicio de brotación y floración, donde sólo en un huerto se presentaron condiciones de bajas temperaturas que justifico su control mediante sistema de aspersión. Durante la primera quincena se realizaron labores de control de malezas en forma mecánico y químico (herbicidas), además de aplicaciones con fitosanitarios cupríferos en forma foliar, con la finalidad de hacer un control preventivo de cáncer bacterial, por lo general es una aplicación mensual de acuerdo a un programa de control preventivo de cada predio.
En algunos huertos, se mantienen labores de mantención de infraestructura de campo; como reparación de cercos, casetas y bodegas, cortinas cortaviento, habilitación de canales para riego, además se realizaron pruebas de succión y descarga de agua, para evaluar el sistema de control de heladas..
A fines de septiembre, con un 5% de floración en cerezos, ingresaron colmenas a los huertos, distribuyéndolas en forma homogénea.
El desarrollo del rubro es normal para la época del año.
Zona de Microclima > Hortalizas
Durante el mes de septiembre se registró un aumento en las temperaturas medias (8,1°C) respecto a agosto (5,9°C). En este contexto, las labores se enfocaron en el inicio de la planificación productiva, incluyendo el diseño del calendario de cultivos, la confección de almácigos y la selección de especies a establecer en función de las condiciones agroclimáticas locales. En sectores con problemas de drenaje, se recomendó retrasar las labores de trasplante para evitar pérdidas por exceso de humedad en el suelo. Se realizaron siembras directas de arveja y habas, además de control químico de malezas en ajo, con un herbicida suelo activo, (i.a. aclonifeno).
De forma paralela, se iniciaron labores de preparación de suelo, instalación de sistemas de riego y otros equipamientos necesarios para el cultivo. Asimismo, se recomendó realizar la toma de muestras para análisis de suelo, con el objetivo de ajustar el manejo nutricional según los requerimientos de cada especie.
Zona Húmeda > Ganadería
La Zona Húmeda acumuló 271,2 mm de precipitación, un 49% sobre el promedio histórico (181 mm). La temperatura media fue de 8,0°C (vs 7,1°C), favorecida por mínimas y máximas más altas. Estas condiciones mejoraron respecto a meses previos, permitiendo observar rebrote verde en las praderas. Sin embargo, es importante restringir el pastoreo en potreros con agua estancada, dado el riesgo de Fasciola hepática (Saguaypé). Asimismo, se recomienda continuar monitoreando la presencia de cuncunilla negra, aplicando control cuando se detecten 2 o más larvas por palada de suelo.
Zona Intermedia > Cultivos > Papas
Durante el mes de septiembre, las labores se centraron en la planificación productiva del cultivo, incluyendo la toma de muestras de suelo, la selección y preparación del material vegetal, y las primeras labores de preparación del terreno. Se recomendó la prebrotación de los tubérculos mediante exposición a luz difusa, práctica que favorece la formación de brotes cortos, vigorosos y bien distribuidos, optimizando el establecimiento en campo.
Zona Intermedia > Ganadería
Durante septiembre, la Intermedia registró 86,6 mm de precipitación, un 30% más que el histórico (67 mm). En Arroyo El Gato se alcanzaron 147 mm, un 79% sobre lo normal. La temperatura media fue de 7,1°C (vs 6,0°C), lo que permitió un rebrote limitado de praderas. Sin embargo, los productores aún dependen en gran medida del forraje conservado, en un período clave de pariciones donde las vacas presentan mayores requerimientos nutricionales. Es esencial revisar la calidad de los forrajes suministrados, comenzar a rezagar potreros para cosecha futura y planificar las siembras de la próxima temporada.
Zona Intermedia > Hortalizas
Durante el mes de septiembre se registró un aumento considerable en la precipitación acumulada, acompañado por un alza en las temperaturas medias respecto a agosto. En este contexto, las labores se enfocaron en el inicio de la planificación productiva, incluyendo el diseño del calendario de cultivos, la confección de almácigos y la selección de especies a establecer en función de las condiciones agroclimáticas locales. En sectores con problemas de drenaje, se recomendó retrasar las labores de trasplante para evitar pérdidas por exceso de humedad en el suelo.
De forma paralela, se iniciaron labores de preparación de suelo, instalación de sistemas de riego y otros equipamientos necesarios para el cultivo. Asimismo, se recomendó realizar la toma de muestras para análisis de suelo, con el objetivo de ajustar el manejo nutricional según los requerimientos de cada especie.
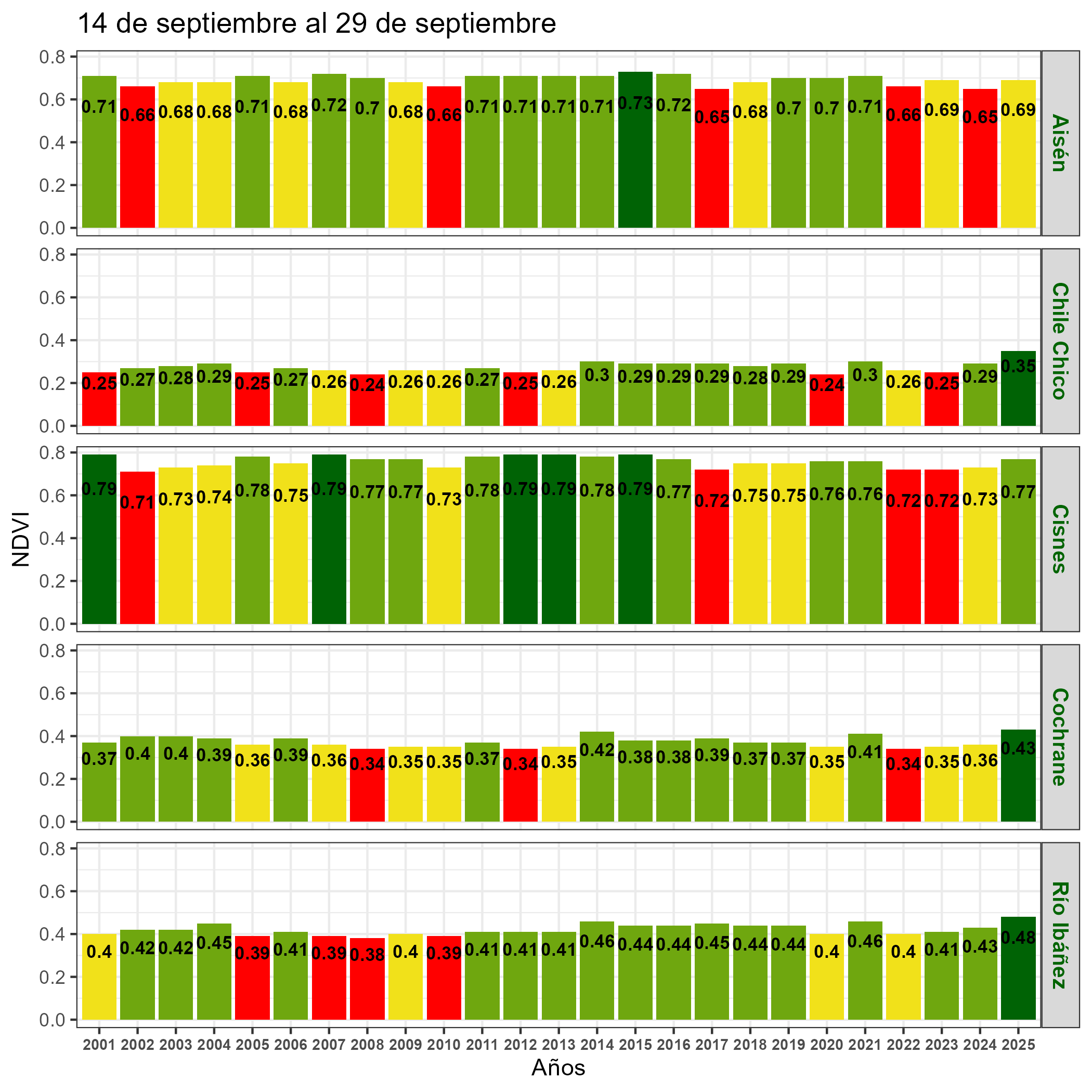
Respecto de la respuesta fisiológica de las plantas al efecto del clima, las imágenes satelitales reflejan la magnitud del crecimiento o disminución de la cobertura vegetal en esta época del año mediante el índice de vegetación NDVI (Desviación Normalizada del Índice de Vegetación).
Para esta quincena se observa un NDVI promedio regional de 0.62 mientras el año pasado había sido de 0.53. El valor promedio histórico para esta región, en este período del año es de 0.56.
El resumen regional en el contexto temporal se puede observar en el siguiente gráfico.
/R11_NDVI_barras_regional.png)
La situación por comunas se presenta en el siguiente gráfico, donde se presentan las comunas con índices más bajos.
/R11_NDVI_barras_comunas.png)
/R11_NDVI.png)
/R11_ANOMALIA_NDVI.png)
/R11_DIFERENCIA_NDVI.png)
Para el monitoreo del estado de la vegetación en la Región se utilizó el índice de condición de la vegetación, VCI (Kogan, 1990, 1995). Este índice se encuentra entre valores de 0% a 100%. Valores bajo 40% se asocian a una condición desfavorable en la vegetación, siendo 0% la peor condición histórica y 100% la mejor (tabla 1).
En términos globales la Región presentó un valor mediano de VCI de 70% para el período comprendido desde el 14 al 29 de septiembre. A igual período del año pasado presentaba un VCI de 30% (Fig. 1). De acuerdo a la Tabla 1 la Región de Aysén, en términos globales presenta una condición Favorable.
Tabla 1. Clasificación de la condición de la vegetación de acuerdo a los valores del índice VCI.

Tabla 2. Resumen de la condición de la vegetación comunal en la Región de acuerdo al análisis del índice VCI.
 (En Evaluación)/R11_RESUMEN_VCI.png)
 (En Evaluación)/R11_VCI_barras_regional.png)
Figura 1. Valores del índice VCI para el mismo período entre los años 2000 al 2022 para la Región de Aysén
 (En Evaluación)/R11_VCI_barras_regional_Matorrales.png)
Figura 2. Valores promedio de VCI en Matorrales en la Región de Aysén
 (En Evaluación)/R11_VCI_barras_regional_Praderas.png)
Figura 3. Valores promedio de VCI en praderas en la Región de Aysén
 (En Evaluación)/R11_VCI_barras_regional_Agrícolas.png)
Figura 4. Valores promedio de VCI en terrenos de uso agrícola en la Región de Aysén
 (En Evaluación)/R11_VCI.png)
Figura 5. Valores comunales promedio de VCI en la Región de Aysén de acuerdo a la clasificación de la Tabla 1.
Las comunas que presentan los valores más bajos del índice VCI en la Región corresponden a Aisén, Cisnes, Cochrane, Río Ibáñez y Chile Chico con 51, 65, 66, 73 y 76% de VCI respectivamente.
 (En Evaluación)/R11_VCI_barras_comunas.png)
Figura 6. Valores del índice VCI para las 5 comunas con valores más bajos del índice del 14 al 29 de septiembre.