
Boletín Nacional de Análisis de Riesgos Agroclimáticos para las Principales Especies Frutales y Cultivos y la Ganadería
OCTUBRE 2025 — REGIÓN VALPARAÍSO
Autores INIA
Jaime Salvo Del Pedregal, Ing. Agrónomo Ph.D, La Cruz
Carolina Salazar Parra, Bióloga Ambiental, Dra. Ciencias Biológicas, La Platina
Rodrigo Candia Antich, Ingeniero Agronomo M.Sc., La Platina
Marcel Fuentes Bustamante, Ingeniero Civil Agrícola MSc., Quilamapu
Jaime Salvo Del Pedregal, Ing. Agrónomo Ph.D, La Cruz
Raúl Orrego, Ingeniero en Recursos Naturales, Dr, Quilamapu
René Sepúlveda, Ingeniero Civil Agrícola (C), Quilamapu
Coordinador INIA: Jaime Salvo Del Pedregal, Ing. Agrónomo Ph.D, La Cruz
La V Región de Valparaíso presenta varios climas diferentes: 1 Clima subártico (Dsc) en Portillo; 2 clima de la tundra (ET) en Caracoles, Cancha Pelada, Parada Caracoles, Codelco Andina; 3 Clima mediterráneo de verano (Csa) en Lo Abarca, San Carlos, Costa Azul, San Sebastian y Cuncumén; y los que predominan son 4 Clima mediterráneo de verano cálido (Csb) en El Juncal, Alto de la Posada, El Peñón, La Pulpería, San Francisco y 5 los Climas fríos y semiáridos (BSk) en El Pedernal, El Chivato, Santa Maria, Calle Larga y Chalaco
Este boletín agroclimático regional, basado en la información aportada por www.agromet.cl y https://agrometeorologia.cl/ , así como información auxiliar de diversas fuentes, entrega un análisis del comportamiento de las principales variables climáticas que inciden en la producción agropecuaria y efectúa un diagnóstico sobre sus efectos, particularmente cuando estos parámetros exhiban comportamientos anómalos que pueden afectar la cantidad o la calidad de la producción.



En la Región de Valparaíso, la primavera 2025 se desarrolla bajo condiciones dominadas por una fase La Niña, con un ambiente seco y un déficit de precipitaciones cercano al 50%, según la Dirección General de Aguas. Los caudales de los ríos Aconcagua, Petorca y Ligua muestran descensos respecto de sus promedios históricos, alcanzando -30%, -59% y -77% respectivamente, reflejando la severidad de la sequía regional. Los embalses Los Aromos y Peñuelas almacenan 35,5 y 10,4 millones de m³, niveles bajos que limitan la disponibilidad de agua potable y para riego. En aguas subterráneas, se observan descensos de 111 cm en el acuífero La Ligua Costa y de 4 a 12 cm en los sectores de Nogales y Aconcagua Desembocadura. Ante este escenario, se recomienda priorizar el uso eficiente del agua, mantener sistemas de riego tecnificado y reforzar el monitoreo de humedad en frutales y hortalizas de los valles interiores.
¿Qué está pasando con el clima?
En la macrozona Centro, y especialmente en la Región de Valparaíso, la primavera 2025 se inicia bajo la influencia de una fase La Niña, que enfría el Pacífico ecuatorial y modula las lluvias hacia valores bajo lo normal, según la Dirección Meteorológica de Chile. Aunque octubre es más frío que los dos años previos, el planeta sigue registrando temperaturas muy superiores al promedio de las últimas cuatro décadas, reflejando la persistencia del calentamiento global. Para Valparaíso, se espera un trimestre seco, con pocas probabilidades de lluvia y temperaturas máximas sobre lo normal, lo que podría acentuar el estrés hídrico en los valles interiores y aumentar la evaporación en suelos y embalses. Las temperaturas mínimas tenderían a valores normales o levemente bajo lo normal, favoreciendo noches más frescas que podrían mitigar parcialmente la demanda hídrica de los cultivos. Estas condiciones confirman un inicio de temporada agrícola 2025–2026 marcado por la sequía estructural, donde la gestión eficiente del agua y la adaptación tecnológica serán claves para sostener la producción frutícola y hortícola regional.

Figura 1. Las probabilidades del fenómeno ENSO indican cuáles serán las condiciones meteorológicas esperadas durante la temporada agrícola actual.

Figura 2. Evolución de Modelos de predicción del comportamiento del fenómeno ENSO representando la probabilidad de ocurrencia de La Niña en la mitad inferior del gráfico, y la de El Niño en la mitad superior del gráfico. Los registros en el rango entre -0.5 y +0.5 representan un pronóstico d condiciones neutras, y los registros sobre 0.5 indican el probable desarrollo del fenómeno del Niño.

Figura 3.- Comparación de temperaturas medias del mes entre años en Catapilco, La Cruz y San Felipe
Estación Colliguay
La estación Colliguay corresponde al distrito agroclimático 5-6-2. Para este distrito climático la temperatura mínima, media y máxima climatológicas alcanzan los 4.7°C, 11.5°C y 18.2°C respectivamente. Por su parte, respecto a las temperaturas medidas durante el mes de septiembre en la estación: la temperatura mínima alcanzo los 3.4°C (-1.3°C bajo la climatológica), la temperatura media 12.3°C (0.8°C sobre la climatológica) y la temperatura máxima llegó a los 21.3°C (3.1°C sobre la climatológica). En el mes de septiembre se registró una pluviometría de 30.8 mm, lo cual representa un 99.4% con respecto al mismo mes de un año normal. De enero a septiembre se ha registrado un total acumulado de 458.4 mm, en circunstancias que un año normal registraría a la fecha 393 mm, lo que representa un superávit de 16.6%. A la misma fecha, durante el año 2024 la precipitación alcanzaba los 13.4 mm.



Estación Cuncumén
La estación Cuncumén corresponde al distrito agroclimático 5-13-1. Para este distrito climático la temperatura mínima, media y máxima climatológicas alcanzan los 5.3°C, 11.6°C y 17.9°C respectivamente. Por su parte, respecto a las temperaturas medidas durante el mes de septiembre en la estación: la temperatura mínima alcanzo los 3.6°C (-1.7°C bajo la climatológica), la temperatura media 11.3°C (-0.3°C bajo la climatológica) y la temperatura máxima llegó a los 19°C (1.1°C sobre la climatológica). En el mes de septiembre se registró una pluviometría de 40.4 mm, lo cual representa un 115.4% con respecto al mismo mes de un año normal. De enero a septiembre se ha registrado un total acumulado de 350.4 mm, en circunstancias que un año normal registraría a la fecha 448 mm, lo que representa un déficit de 21.8%. A la misma fecha, durante el año 2024 la precipitación alcanzaba los 13.4 mm.



Estación El Maqui
La estación El Maqui corresponde al distrito agroclimático 5-4. Para este distrito climático la temperatura mínima, media y máxima climatológicas alcanzan los 6.1°C, 11°C y 15.8°C respectivamente. Por su parte, respecto a las temperaturas medidas durante el mes de septiembre en la estación: la temperatura mínima alcanzo los 6.7°C (0.6°C sobre la climatológica), la temperatura media 11.9°C (0.9°C sobre la climatológica) y la temperatura máxima llegó a los 17.1°C (1.3°C sobre la climatológica). En el mes de septiembre se registró una pluviometría de 17.5 mm, lo cual representa un 56.5% con respecto al mismo mes de un año normal. De enero a septiembre se ha registrado un total acumulado de 312.5 mm, en circunstancias que un año normal registraría a la fecha 370 mm, lo que representa un déficit de 15.5%. A la misma fecha, durante el año 2024 la precipitación alcanzaba los 6.6 mm.



¿Qué está pasando con el agua?
En la Región de Valparaíso, el 2025 continúa marcando una crisis hídrica persistente, con un déficit de precipitaciones cercano al 50% y caudales superficiales muy por debajo de los niveles normales. Ríos emblemáticos como el Alicahue y el Sobrante registran descensos de 68% y 55%, respectivamente, en comparación con el año anterior, y el Lago Peñuelas sigue mostrando un estado crítico, casi seco. A nivel subterráneo, la situación no mejora: el acuífero del río La Ligua experimentó un descenso de 1,1 metros en apenas un mes, y el del río Aconcagua, en sectores como Nogales e Hijuelas, profundizó entre 4 y 12 centímetros, confirmando la falta de recarga natural. Este agotamiento progresivo de las napas refleja la presión combinada del cambio climático, el uso intensivo agrícola y la expansión urbana. Aunque a nivel nacional los embalses han mostrado una leve recuperación mensual, en Valparaíso la capacidad de almacenamiento se mantiene limitada y por debajo del promedio histórico.
FLUVIOMETRÍA
En la estación Río Sobrante en Piñadero, el caudal de septiembre 2025 fue de 0,51 m3/s. Este valor es 58,5% menor al promedio histórico (1,23 m3/s) y 54,9% inferior al registro de septiembre 2024 (1,13 m3/s). En comparación con agosto 2025 (0,46 m3/s), se observa un aumento de 10,9%.


Boletín Información Pluviométrica, Fluviométrica, Estado de Embalses y Aguas Subterráneas (N° 569 septiembre 2025)
En la estación Río Aconcagua en Chacabuquito, el caudal de septiembre 2025 alcanzó los 12,7 m3/s. Esto representa un 14,8% menos que en septiembre 2024 (14,9 m3/s) y un 30,6% inferior al promedio histórico (18,3 m3/s). En relación a agosto 2025 (10,5 m3/s), se observa un alza de 21,0%.


Boletín Información Pluviométrica, Fluviométrica, Estado de Embalses y Aguas Subterráneas (N° 569 septiembre 2025)
En la estación Río Maipo en El Manzano, el caudal de septiembre 2025 fue de 50,0 m3/s. Este valor se encuentra 28,0% bajo el promedio histórico (69,4 m3/s) y 22,5% menor al registro de septiembre 2024 (64,5 m3/s). En comparación con agosto 2025 (42,0 m3/s), se aprecia un aumento de 19,0%.


Boletín Información Pluviométrica, Fluviométrica, Estado de Embalses y Aguas Subterráneas (N° 569 septiembre 2025)
Resumen fluviométrico – Regiones de Valparaíso y Metropolitana
En términos generales, todos los ríos mantienen valores por debajo del promedio histórico, con déficits especialmente notorios en el río Sobrante (-58,5%) y en el río Aconcagua (-30,6%). Al comparar con agosto 2025, se observa un comportamiento de recuperación generalizada: Aconcagua (+21,0%), Maipo (+19,0%) y Sobrante (+10,9%) registran alzas mensuales. En relación a septiembre 2024, los descensos siguen siendo importantes en los tres cursos de agua, especialmente en Sobrante (-54,9%).
| Río | Septiembre 2025 (m³/s) |
Promedio histórico (m³/s) |
Variación 2025 vs Promedio |
Septiembre 2024 (m³/s) |
Variación 2025 vs 2024 |
Agosto 2025 (m³/s) |
Variación Sept vs Agosto |
|---|---|---|---|---|---|---|---|
| Sobrante | 0,51 | 1,23 | -58,5% | 1,13 | -54,9% | 0,46 | +10,9% |
| Aconcagua | 12,7 | 18,3 | -30,6% | 14,9 | -14,8% | 10,5 | +21,0% |
| Maipo | 50,0 | 69,4 | -28,0% | 64,5 | -22,5% | 42,0 | +19,0% |
PRONÓSTICO DE CAUDALES DE DESHIELO TEMPORADA 2025 - 2026
Tomando la información de lluvias y caudales hasta el 31 de agosto de las estaciones fluviométricas, y la información nival hasta principios de septiembre de las estaciones nivométricas, la Dirección General de Aguas elaboró el pronóstico de caudales de deshielo para la temporada 2025 - 2026, que entrega la modelación del comportamiento del caudal de las principales cuencas con aporte nival directo. Este pronóstico abarca desde septiembre hasta marzo.
Al analizar el comportamiento de la precipitación acumulada mensual entre abril y agosto de 2025 para la estación de San Felipe, se observa que junio y agosto registran valores por sobre el promedio 1991-2020, mientras que abril y julio se ubican por debajo del promedio y mayo levemente bajo la referencia climatológica.
Pronóstico de caudales de deshielo 2025 - 2026.
Respecto del manto nival, la serie de Portillo (Aconcagua) muestra que el Equivalente de Agua Nieve (EAN) 2025 se mantuvo muy por debajo del promedio 1991–2020 a lo largo del período de acumulación, llegando a un valor acumulado para el periodo 2025 de 325 mm, presentando un déficit del 28% en relación al valor promedio y un 38% inferior al año anterior.

Pronóstico de caudales de deshielo 2025 - 2026.
De esta forma, el pronóstico de caudales de deshielo para la cuenca del Aconcagua en Chacabuquito se ubica en torno al Q50% entre septiembre y enero, con descensos hacia fines de verano, llegando a valores Q85%. Esto significaría un 32% menos agua en comparación con el año 2024 y un 42% por debajo del promedio (1991 - 2020).
Pronóstico de caudales de deshielo 2025 - 2026.
Por otro lado, en la cuenca de Putaendo en Resguardo Los Patos, el caudal modelado se mantiene cercano al Q85% para toda la temporada de riego. Estos valores representan un déficit del 6% y 34% en comparación con el año 2024 y el valor promedio respecticamente.
Pronóstico de caudales de deshielo 2025 - 2026.
Adicionalmente, para la Región Metropolitana, el pronóstico del río Maipo en El Manzano sitúa los caudales proyectados en Q85% durante primavera, con máximos hacia diciembre–enero acercandose ligeramente al Q50%, para luego presentar una disminución progresiva durante febrero–marzo. Así el caudal proyectado para esta temporada de riego, se encontraría un 38% por debajo del volumen observado en 2024, y un 42% menos que el valor observado promedio.
Pronóstico de caudales de deshielo 2025 - 2026.
Finalmente, estos pronósticos representan un escenario que se encontrará por debajo de los valores promedios, y por debajo de la situación registrada para el año 2024, por tanto, es de vital importancia tomar los resguardos necesarios en caso de que el déficit de agua superficial se presente tal como muestran los pronósticos.
AGUAS SUBTERRÁNEAS y EMBALSES
En el acuífero Río Aconcagua en el sector de Nogales/Hijuelas, el nivel estático del Pozo Rabuco 2 muestra una recuperación sostenida en el último año. Durante agosto 2025 el nivel se ubicó en torno a 287 m.s.n.m., lo que equivale a cerca de 7 m desde la superficie del pozo, sin grandes variaciones en comparación con el mes anterior.

Boletín Información Pluviométrica, Fluviométrica, Estado de Embalses y Aguas Subterráneas (N° 569 septiembre 2025)
En el pozo Industria Bata, del acuífero Río Maipo (Melipilla), el nivel dinámico se mantiene relativamente estable respecto al comportamiento de los últimos años, situándose en agosto 2025 en torno a los 176 m.s.n.m., lo que corresponde a 2 m bajo la superficie del pozo.

Boletín Información Pluviométrica, Fluviométrica, Estado de Embalses y Aguas Subterráneas (N° 569 septiembre 2025)
En el sector Río La Ligua Costa, pozo Papudo y Zapallar presentó en agosto 2025 su nivel más alto desde 2020, alcanzando 12 m.s.n.m., tras la recuperación registrada en los últimos meses.

Boletín Información Pluviométrica, Fluviométrica, Estado de Embalses y Aguas Subterráneas (N° 569 septiembre 2025)
En el sector Río Petorca Poniente, correspondiente al acuífero Río Petorca, el pozo Parcela El Boldo mantiene una tendencia descendente en el último semestre. En agosto 2025 registró un nivel en torno a 168 m.s.n.m., equivalente a 3 m bajo la superficie, lo que refleja una disminución sostenida tras el alza registrada a finales de 2024, pero presentando un nivel estabilizado en los últimos 5 meses.

Boletín Información Pluviométrica, Fluviométrica, Estado de Embalses y Aguas Subterráneas (N° 569 septiembre 2025)
Templado Mediterráneo con Infuencia Marina en Valle Central > Frutales > Palto
En la macrozona Centro —que comprende las regiones de Valparaíso, Metropolitana y O’Higgins— los paltos se encuentran actualmente en plena floración y cuaja de frutos, etapas críticas para determinar la carga productiva y la calidad final del fruto. Para el próximo trimestre se pronostican temperaturas máximas sobre lo normal y precipitaciones bajo lo normal, condiciones que incrementan la evapotranspiración y el riesgo de estrés hídrico, especialmente en huertos de laderas o suelos con baja retención de agua. Ante este escenario, se recomienda ajustar los riegos de acuerdo con la evapotranspiración real, privilegiando aplicaciones cortas y frecuentes que mantengan una humedad estable en la zona radicular, evitando fluctuaciones que afecten la floración y la cuaja. Es fundamental reforzar la fertilización foliar con boro, zinc y calcio, nutrientes esenciales para mejorar la fecundación, reducir la caída de flores y fortalecer los tejidos jóvenes. En días de alta radiación, se sugiere utilizar mallas sombreadoras o coberturas parciales, que disminuyan el estrés térmico y la pérdida de humedad del suelo. Asimismo, se recomienda mantener una cobertura vegetal o mulch entre hileras para conservar la humedad y reducir la erosión en suelos expuestos. En huertos con antecedentes de estrés hídrico o salinidad, es conveniente aplicar bioestimulantes o enmiendas orgánicas líquidas, que mejoran la actividad radicular y la resistencia al calor. Finalmente, se debe monitorear la presencia de trips y arañitas, plagas que aumentan con las altas temperaturas, aplicando controles integrados para proteger el follaje y favorecer un desarrollo sano de los frutos durante esta primavera más cálida y seca de lo habitual.
Templado Mediterráneo con Infuencia Marina en Valle Central > Hortalizas > Tomate
En la macrozona Centro —que incluye las regiones de Valparaíso, Metropolitana y O’Higgins— los cultivos de tomate se encuentran actualmente en etapa de establecimiento y crecimiento vegetativo temprano, con trasplantes recientes o en desarrollo activo en los valles interiores. Para el próximo trimestre se proyectan temperaturas máximas sobre lo normal y bajas probabilidades de lluvia, condiciones que favorecen el crecimiento, pero también incrementan la evapotranspiración y el riesgo de estrés térmico. Ante este escenario, se recomienda mantener un riego frecuente y uniforme, preferiblemente por goteo, ajustando los volúmenes según la demanda diaria de agua y evitando encharcamientos que propician enfermedades radiculares. Es fundamental reforzar la fertilización con nitrógeno y potasio para sostener un crecimiento equilibrado y estimular la floración, complementando con aplicaciones foliares de calcio para prevenir problemas de pudrición apical en los primeros racimos. En zonas con alta radiación, se aconseja utilizar mallas sombreadoras o acolchados reflectantes, que moderan la temperatura del follaje y reducen el estrés solar. También es importante controlar la aparición de plagas como mosquita blanca, trips y pulgones, cuya población aumenta con el calor, utilizando monitoreo con trampas y manejo integrado que preserve los insectos benéficos. Finalmente, se sugiere favorecer una buena aireación dentro del follaje mediante un deshoje moderado y tutorado adecuado, para reducir la humedad relativa y prevenir enfermedades como botritis, asegurando un desarrollo vigoroso y sostenido del cultivo durante esta primavera más cálida y seca de lo normal.
Templado Mediterráneo en Valle Central Interior > Frutales > Vides
En la macrozona Centro —que abarca las regiones de Valparaíso, Metropolitana y O’Higgins— los viñedos de uva de mesa y de vino se encuentran en etapa de floración y cuaja, un momento decisivo para definir el rendimiento y la calidad del fruto. Durante el próximo trimestre se esperan temperaturas máximas sobre lo normal y precipitaciones bajo lo normal, condiciones que aceleran el metabolismo de la planta y aumentan la demanda hídrica. Ante este escenario, se recomienda mantener un riego controlado y uniforme, ajustado a la evapotranspiración y tipo de suelo, evitando excesos que reduzcan la aireación radicular o déficits que provoquen aborto floral. Es conveniente aplicar fertilización foliar con boro, zinc y calcio antes y después de la floración, nutrientes esenciales para una buena fecundación y firmeza del racimo. En zonas de alta radiación, se sugiere manejar el follaje mediante deshojes parciales o uso de mallas sombreadoras, lo que reduce el riesgo de deshidratación y quemadura solar en las bayas. También es importante monitorear la aparición de oídio y botritis, enfermedades que pueden afectar la cuaja y el desarrollo de los racimos, aplicando tratamientos preventivos compatibles con la etapa fenológica. Finalmente, se recomienda favorecer la ventilación del parrón o espaldera y mantener una buena distribución de racimos por planta, para asegurar una maduración uniforme y un equilibrio entre producción y calidad, especialmente en un trimestre más cálido y seco de lo habitual que puede adelantar la fenología del cultivo.
Este producto proporciona estimaciones de la humedad del suelo en todo el mundo a partir de un gran conjunto de sensores satelitales. Se basa en la versión 3.0 de humedad del suelo de la Iniciativa de Cambio Climático de la ESA, El producto ACTIVO es el resultado de la fusión de datos de humedad del suelo basados en scatterómetros, que se derivan de AMI-WS y ASCAT (Metop-A y Metop-B), y su representación es el contenido de agua líquida en una capa superficial del suelo de 2 a 5 cm de profundidad expresado como porcentaje de saturación total.

Respecto de la respuesta fisiológica de las plantas al efecto del clima, las imágenes satelitales reflejan la magnitud del crecimiento o disminución de la cobertura vegetal en esta época del año mediante el índice de vegetación NDVI (Desviación Normalizada del Índice de Vegetación).
Para esta quincena se observa un NDVI promedio regional de 0.62 mientras el año pasado había sido de 0.61. El valor promedio histórico para esta región, en este período del año es de 0.58.
El resumen regional en el contexto temporal se puede observar en el siguiente gráfico.
/R05_NDVI_barras_regional.png)
La situación por comunas se presenta en el siguiente gráfico, donde se presentan las comunas con índices más bajos.
/R05_NDVI_barras_comunas.png)
/R05_NDVI.png)
/R05_ANOMALIA_NDVI.png)
/R05_DIFERENCIA_NDVI.png)
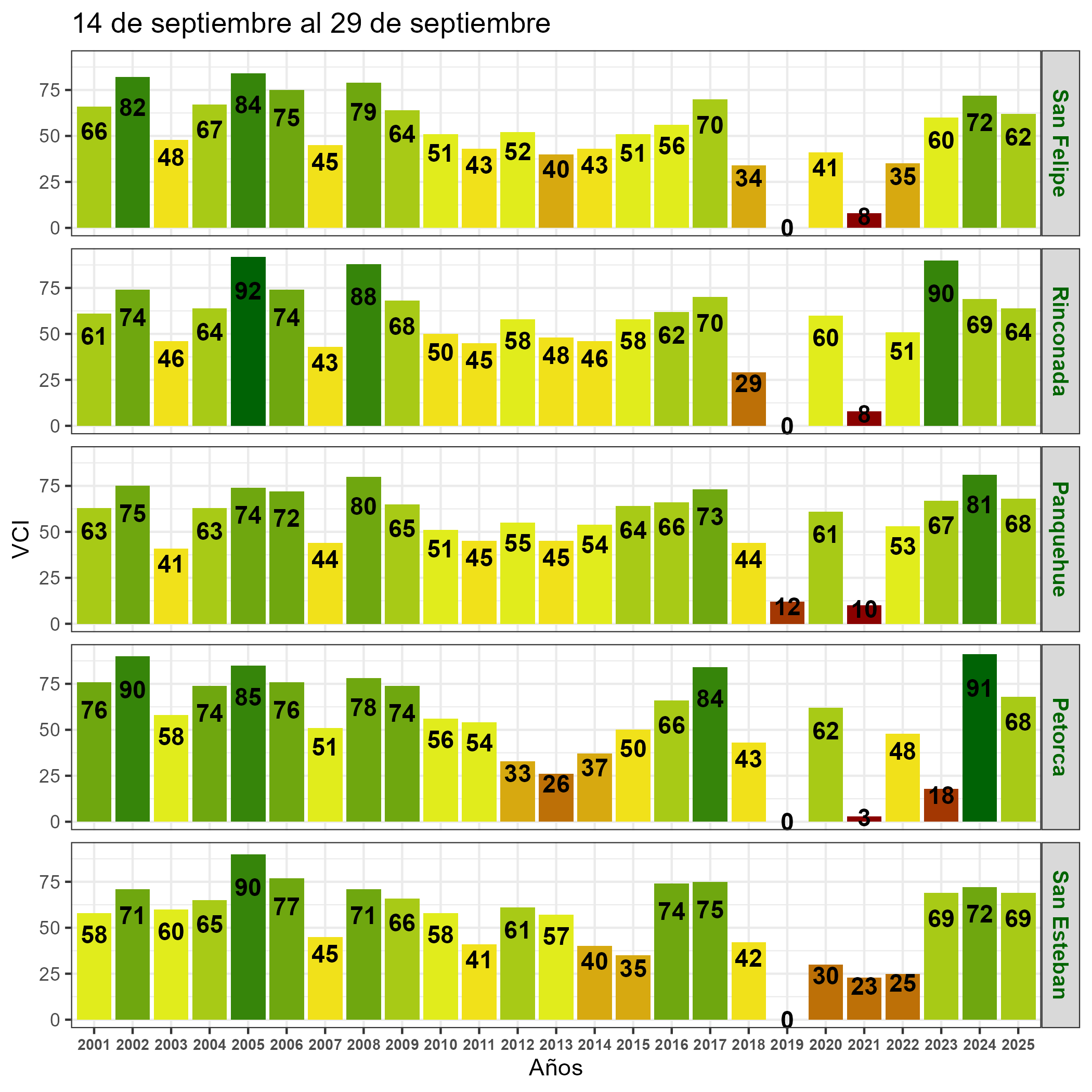
Para el monitoreo del estado de la vegetación en la Región se utilizó el índice de condición de la vegetación, VCI (Kogan, 1990, 1995). Este índice se encuentra entre valores de 0% a 100%. Valores bajo 40% se asocian a una condición desfavorable en la vegetación, siendo 0% la peor condición histórica y 100% la mejor (tabla 1).
En términos globales la Región presentó un valor mediano de VCI de 77% para el período comprendido desde el 14 al 29 de septiembre. A igual período del año pasado presentaba un VCI de 74% (Fig. 1). De acuerdo a la Tabla 1 la Región de Valparaíso, en términos globales presenta una condición Favorable.
Tabla 1. Clasificación de la condición de la vegetación de acuerdo a los valores del índice VCI.

Tabla 2. Resumen de la condición de la vegetación comunal en la Región de acuerdo al análisis del índice VCI.
 (En Evaluación)/R05_RESUMEN_VCI.png)
 (En Evaluación)/R05_VCI_barras_regional.png)
Figura 1. Valores del índice VCI para el mismo período entre los años 2000 al 2022 para la Región de Valparaíso
 (En Evaluación)/R05_VCI_barras_regional_Matorrales.png)
Figura 2. Valores promedio de VCI en Matorrales en la Región de Valparaíso
 (En Evaluación)/R05_VCI_barras_regional_Praderas.png)
Figura 3. Valores promedio de VCI en praderas en la Región de Valparaíso
 (En Evaluación)/R05_VCI_barras_regional_Agrícolas.png)
Figura 4. Valores promedio de VCI en terrenos de uso agrícola en la Región de Valparaíso
 (En Evaluación)/R05_VCI.png)
Figura 5. Valores comunales promedio de VCI en la Región de Valparaíso de acuerdo a la clasificación de la Tabla 1.
Las comunas que presentan los valores más bajos del índice VCI en la Región corresponden a San Felipe, Rinconada, Panquehue, Petorca y San Esteban con 62, 64, 68, 68 y 69% de VCI respectivamente.
 (En Evaluación)/R05_VCI_barras_comunas.png)
Figura 6. Valores del índice VCI para las 5 comunas con valores más bajos del índice del 14 al 29 de septiembre.