
Boletín Nacional de Análisis de Riesgos Agroclimáticos para las Principales Especies Frutales y Cultivos y la Ganadería
NOVIEMBRE 2025 — REGIÓN ÑUBLE
Autores INIA
Raúl Orrego, Ingeniero en Recursos Naturales, Dr, Quilamapu
Cristian Balbontin, Ing. Agrónomo Dr., Quilamapu
Dalma Castillo Rosales, Ing. Agrónomo Dr., Quilamapu
Ivan Matus, Ing. Agrónomo Ph.D., Quilamapu
Soledad Espinoza T., Ing. Agrónomo Dr., Quilamapu
Kianyon Tay, Ing. Agrónomo, Quilamapu
Lorenzo León, Ingeniero Agrónomo, MSc, Quilamapu
Sigrid Vargas Schuldes, Ingeniera Agrónomo, Quilamapu
Ruben Gallegos, Ing., Quilamapu
Marcel Fuentes Bustamante, Ingeniero Civil Agrícola MSc., Quilamapu
Jaime Salvo Del Pedregal, Ing. Agrónomo Ph.D, La Cruz
Rubén Ruiz, Ingeniero Civil Agrícola (Encargado de la red de estaciones meteorológicas), Quilamapu
René Sepúlveda, Ingeniero Civil Agrícola (C), Quilamapu
Coordinador INIA: Jaime Salvo Del Pedregal, Ing. Agrónomo Ph.D, La Cruz
La XVI Región de Ñuble presenta dos climas diferentes: clima oceánico (Cfb) en Colemu; y 2 el que predomina es el Clima mediterráneo de verano cálido (Csb) en La Máquina.
Este boletín agroclimático regional, basado en la información aportada por www.agromet.cl y https://agrometeorologia.cl/ , así como información auxiliar de diversas fuentes, entrega un análisis del comportamiento de las principales variables climáticas que inciden en la producción agropecuaria y efectúa un diagnóstico sobre sus efectos, particularmente cuando estos parámetros exhiban comportamientos anómalos que pueden afectar la cantidad o la calidad de la producción.



Estación CE Arroz
La estación CE Arroz corresponde al distrito agroclimático 7-9-1. Para este distrito climático la temperatura mínima, media y máxima climatológicas alcanzan los 6.2°C, 13.7°C y 21.2°C respectivamente. Por su parte, respecto a las temperaturas medidas durante el mes de octubre en la estación: la temperatura mínima alcanzo los 6.6°C (0.4°C sobre la climatológica), la temperatura media 13.8°C (0.1°C sobre la climatológica) y la temperatura máxima llegó a los 21.1°C (-0.1°C bajo la climatológica). En el mes de octubre se registró una pluviometría de 23.8 mm, lo cual representa un 45.8% con respecto al mismo mes de un año normal. De enero a octubre se ha registrado un total acumulado de 689.6 mm, en circunstancias que un año normal registraría a la fecha 912 mm, lo que representa un déficit de 24.4%. A la misma fecha, durante el año 2024 la precipitación alcanzaba los 26 mm.



Estación Navidad
La estación Navidad corresponde al distrito agroclimático 6-8-1. Para este distrito climático la temperatura mínima, media y máxima climatológicas alcanzan los 4.4°C, 11.3°C y 18.1°C respectivamente. Por su parte, respecto a las temperaturas medidas durante el mes de octubre en la estación: la temperatura mínima alcanzo los 4°C (-0.4°C bajo la climatológica), la temperatura media 12°C (0.7°C sobre la climatológica) y la temperatura máxima llegó a los 20.1°C (2°C sobre la climatológica). En el mes de octubre se registró una pluviometría de 52.9 mm, lo cual representa un 53.4% con respecto al mismo mes de un año normal. De enero a octubre se ha registrado un total acumulado de 1006 mm, en circunstancias que un año normal registraría a la fecha 1504 mm, lo que representa un déficit de 33.1%. A la misma fecha, durante el año 2024 la precipitación alcanzaba los 8.5 mm.



Estación Ninhue
La estación Ninhue corresponde al distrito agroclimático 7-8-3. Para este distrito climático la temperatura mínima, media y máxima climatológicas alcanzan los 6.5°C, 13.6°C y 20.7°C respectivamente. Por su parte, respecto a las temperaturas medidas durante el mes de octubre en la estación: la temperatura mínima alcanzo los 7.6°C (1.1°C sobre la climatológica), la temperatura media 15°C (1.4°C sobre la climatológica) y la temperatura máxima llegó a los 22.4°C (1.7°C sobre la climatológica). En el mes de octubre se registró una pluviometría de 24.7 mm, lo cual representa un 54.9% con respecto al mismo mes de un año normal. De enero a octubre se ha registrado un total acumulado de 536.1 mm, en circunstancias que un año normal registraría a la fecha 845 mm, lo que representa un déficit de 36.6%. A la misma fecha, durante el año 2024 la precipitación alcanzaba los 16.8 mm.



Estación Nueva Aldea
La estación Nueva Aldea corresponde al distrito agroclimático 7-8-3. Para este distrito climático la temperatura mínima, media y máxima climatológicas alcanzan los 6.3°C, 13.5°C y 20.7°C respectivamente. Por su parte, respecto a las temperaturas medidas durante el mes de octubre en la estación: la temperatura mínima alcanzo los 7.9°C (1.6°C sobre la climatológica), la temperatura media 15.2°C (1.7°C sobre la climatológica) y la temperatura máxima llegó a los 22.6°C (1.9°C sobre la climatológica). En el mes de octubre se registró una pluviometría de 18.8 mm, lo cual representa un 40.9% con respecto al mismo mes de un año normal. De enero a octubre se ha registrado un total acumulado de 566.1 mm, en circunstancias que un año normal registraría a la fecha 805 mm, lo que representa un déficit de 29.7%. A la misma fecha, durante el año 2024 la precipitación alcanzaba los 15.6 mm.



Estación Portezuelo
La estación Portezuelo corresponde al distrito agroclimático 7-8-3. Para este distrito climático la temperatura mínima, media y máxima climatológicas alcanzan los 6.6°C, 13.5°C y 20.5°C respectivamente. Por su parte, respecto a las temperaturas medidas durante el mes de octubre en la estación: la temperatura mínima alcanzo los 7.7°C (1.1°C sobre la climatológica), la temperatura media 14.9°C (1.4°C sobre la climatológica) y la temperatura máxima llegó a los 22.1°C (1.6°C sobre la climatológica). En el mes de octubre se registró una pluviometría de 22.1 mm, lo cual representa un 47% con respecto al mismo mes de un año normal. De enero a octubre se ha registrado un total acumulado de 501.5 mm, en circunstancias que un año normal registraría a la fecha 846 mm, lo que representa un déficit de 40.7%. A la misma fecha, durante el año 2024 la precipitación alcanzaba los 18.8 mm.



Estación Santa Rosa
La estación Santa Rosa corresponde al distrito agroclimático 7-8-5. Para este distrito climático la temperatura mínima, media y máxima climatológicas alcanzan los 5.7°C, 13.2°C y 20.7°C respectivamente. Por su parte, respecto a las temperaturas medidas durante el mes de octubre en la estación: la temperatura mínima alcanzo los 5.6°C (-0.1°C bajo la climatológica), la temperatura media 13.5°C (0.3°C sobre la climatológica) y la temperatura máxima llegó a los 21.3°C (0.6°C sobre la climatológica). En el mes de octubre se registró una pluviometría de 34 mm, lo cual representa un 54% con respecto al mismo mes de un año normal. De enero a octubre se ha registrado un total acumulado de 688.1 mm, en circunstancias que un año normal registraría a la fecha 1056 mm, lo que representa un déficit de 34.8%. A la misma fecha, durante el año 2024 la precipitación alcanzaba los 22.8 mm.



Estación Yungay
La estación Yungay corresponde al distrito agroclimático 6-8-1. Para este distrito climático la temperatura mínima, media y máxima climatológicas alcanzan los 5.5°C, 12.4°C y 19.3°C respectivamente. Por su parte, respecto a las temperaturas medidas durante el mes de octubre en la estación: la temperatura mínima alcanzo los 5.3°C (-0.2°C bajo la climatológica), la temperatura media 12.8°C (0.4°C sobre la climatológica) y la temperatura máxima llegó a los 20.4°C (1.1°C sobre la climatológica). En el mes de octubre se registró una pluviometría de 58.5 mm, lo cual representa un 75% con respecto al mismo mes de un año normal. De enero a octubre se ha registrado un total acumulado de 882.6 mm, en circunstancias que un año normal registraría a la fecha 1188 mm, lo que representa un déficit de 25.7%. A la misma fecha, durante el año 2024 la precipitación alcanzaba los 44.7 mm.



Depresión Intermedia > Cultivos > Arroz
En el caso de siembras mecanizadas, corresponde la aplicación de herbicidas de pre-emergencia, e idealmente después de la aplicación regar el cultivo para un correcto funcionamiento y control de malezas efectivo, sobre todo para malezas del género Echichnaloa spp.
En siembras de arroz pre-germinado, cuidar el nivel de agua y mantenerlo a no más de 10 cm de altura y realizar secas para evitar la proliferación de “lamas”
Ante el escenario actual de escases hídrica, es recomendable realizar control de malezas con arroz entre 2 a 3 hojas, y así proceder a inundar de forma permanente, más temprano.
Depresión Intermedia > Cultivos > Leguminosas
Poroto
La fecha optima para el establecimiento del cultivo del poroto es durante noviembre. El poroto debe sembrarse con humedad en el suelo despues su preparación, si la humedad es insuficiente, es recomendable regar, aunque esto signifique retrasar la siembra. La siembra con buena humedad además de permitir una emergencia rápida y uniforme, facilita la acción de los herbicidas (presiembra y premergente) y fertilizantes. También recordar para asegurar una buena emergencia de plantas, la desinfección de semilla con fungicida, especialmente en aquellas variedades cuyos granos tienen la cutícula muy delgada , como es el caso de las variedades de grano tórtola y coscorrón. De igual forma, es muy necesaria la aplicación de un insecticida y fungicida a la semilla para el control de larva de la mosca del poroto (Delia platura) y complejo de hongos del suelo que pueden afectar la germinación de la semilla.
Depresión Intermedia > Cultivos > Trigo
Los trigos tanto de invierno, hábito alternativo como primaveral se encuentran en fin floración y grano acuoso.
Es importante determinar la aparición de alguna enfermedad foliar, como podría ser roya amarilla o colorada de la hoja.
Es necesario evaluar la disponibilidad de agua en el suelo para determinar la necesidad de regar. Desde espigadura y hasta el estado de grano masoso no debe haber falta de humedad para el cultivo.
Depresión Intermedia > Frutales Menores
Las tendencias agroclimáticas indican que durante este mes tendremos olas de calor con una marcada amplitud térmica, por lo cual el cultivo de arándanos, que tiene un sistema de raices muy superficial, debe ser mantenido con riego abundante y el uso de nutrientes en función de esta etapa fenológica y el estado del cultivo, de tal manera de asegurar un buen rendimiento y calidad de fruta en la siguiente temporada.
En frutilla, que se encuentra en etapa de desarrollo y maduración de frutos, es importante también asegurar un buen suministro de agua. Asimismo, si se produjesen precipitaciones esporádicas que puedan afectar la calidad de la fruta, se debe eliminar aquella que sea atacada por enfermedades e insectos.
Por otra parte, en el cultivo de frambuesa, que se encuentra en la transición de floracion a producción además de cuidar el riego, control de malezas y otros aspectos, se debe poner especial atención en aspectos nutricionales mediante análisis foliares regulares. También se debe proveer un adecuado espaciamiento entre y dentro de las plantas, lo anterior se puede lograr mediante podas y remoción de estructuras no productivas, a fin de incrementar la aireación y luminosidad
Depresión Intermedia > Hortalizas
Esta primavera inusual con mañanas muy heladas y tardes calurosas, permiten un desarrollo normal de la mayoría de las hortalizas, especialmente las de invernadero. En invernadero estamos con llenado de fruto y prontos a iniciar cosecha, en cultivos primores de tomate y pepino. El poroto verde y pimiento son más tardíos. En el caso del pimiento, si solo se tiene ese cultivo en invernadero, considerar al lado poniente del techo colocar malla tipo Rachel al 50% para evitar golpe de sol una vez que los frutos están listos para cosechar.
En exterior los cultivos de ajo y chalota están en pleno desarrollo vegetativo e iniciando bulbificación, la preocupación para ellos debe ser el mantener libres de malezas alrededor de la planta. Estamos en fecha de trasplante de cebolla de guarda hasta noviembre, idealmente en asociación con tomillo para evitar daño de la mosca de la cebolla (Delia antiqua M). Se recomienda realizar aplicaciones semanales de té de compost foliar. Considerando que los veranos son cada vez más secos, los ajos y chalotas, son una alternativa interesante ya que se cosechan en enero y previamente se les realiza un corte del riego para que la maduración y guarda sea adecuada.
Terminada la cosecha de habas picar el follaje e incorporarlo al suelo como abono verde, luego de un par de semanas es ideal rotar con brássicas o maíz para aprovechar el nitrógeno que ha quedado disponible en el suelo. Estamos aún en época de siembre de porotos y maíz, también de todas las brássicas como repollo, coliflor, brócoli y repollo de bruselas. Estas últimas se pueden plantar en forma escalonada hasta principios de febrero. La mayor preocupación es la disponibilidad de agua para riego, ya que estos cultivos requieren de riego periódico para obtener buen desarrollo vegetativo, y buen rendimiento.
En el cultivo de espárragos estamos terminando la cosecha, considerar riego profundo y abonado para favorecer el desarrollo del follaje y con ello la guarda de carbohidratos en la corona, lo que asegura la cosecha productiva del año siguiente.
En este mes se establecen al aire libre todos los cultivos de cucurbitáceas como zapallo, sandía y melón, sobre suelo regado.
Considerar el uso de cubiertas plásticas u orgánicas (pajas descompuestas, cartones, virutas, etc.) sobre hilera, para evitar la perdida acelerada de humedad y ralentizar la emergencia de malezas en los cultivos de huerta e invernadero.
Siempre debe instalarse el riego por goteo, regar adecuadamente el suelo, y luego realizar la plantación o siembra, así evitamos la perdida de plantas por estrés hídrico.
Reciclar residuos prediales para re incorporarlos al sistema productivo como materia orgánica estabilizada y no quemar rastrojos, asegura un suelo con cada vez mejor potencial productivo.
Es prioritario asegurar los recursos hídricos para obtener buenos rendimientos y calidad de productos.
Depresión Intermedia > Ganadería
Bovinos: Hembras en lactancia, por lo que preocuparse de los siguientes aspectos:
a) Asegurar que las hembras, posean suficiente forraje de calidad, por lo tanto, si es necesario suplementar con forraje conservado.
b) Revisar periódicamente los comederos o canoas y repararlos si existen problemas.
c) Disponer sales minerales a libre disposición en aquellos potreros donde se encuentren los animales.
d) No descuidar el abastecimiento de agua de bebida, que sea limpia, ya que es fundamental para una buena producción de leche.
e) Evitar el estrés en el arreo de los animales, debido a uso de perros u otros utensilios. Cuidar siempre del bienestar animal.
f) Comenzar el encaste, por lo cual revisar la hembras y machos.
g) Realizar la compra e instalación de aretes insecticidas, para la mosca de los cuernos. A su vez, desparasitar y vacunar al rebaño.
Depresión Intermedia > Praderas
Las condiciones climáticas han sido favorables para el crecimiento de las praderas de pastoreo, actualmente se encuentran en plena producción. La temperatura ha sido óptima para las gramíneas (ballica y festuca) y el trébol blanco. La frecuencia de pastoreo debe ser alta, cada 15-20 días, para evitar la espigadura de las gramíneas y no afectar la calidad del forraje y persistencia de la pradera.
Evitar pastorear temprano por la mañana praderas que presentan crecimiento abundante de trébol blanco, por el riesgo de meteorismo en rumiantes.
Preocuparse de regar con una frecuencia de 7-10 días. Se recomienda evitar el rezago de praderas de primer año, si hay una sobreproducción de forraje, rezagar para ensilaje o soiling.
En praderas de corte, iniciar temporada de corte en estos momentos, ya que las condiciones climáticas son favorables para labor de henificación o ensilaje.
Precordillera > Cultivos > Leguminosas
Poroto
La fecha optima para el establecimiento del cultivo del poroto es durante noviembre. El poroto debe sembrarse con humedad en el suelo despues su preparación, si la humedad es insuficiente, es recomendable regar, aunque esto signifique retrasar la siembra. La siembra con buena humedad además de permitir una emergencia rápida y uniforme, facilita la acción de los herbicidas (presiembra y premergente) y fertilizantes. También recordar para asegurar una buena emergencia de plantas, la desinfección de semilla con fungicida, especialmente en aquellas variedades cuyos granos tienen la cutícula muy delgada , como es el caso de las variedades de grano tórtola y coscorrón. De igual forma, es muy necesaria la aplicación de un insecticida y fungicida a la semilla para el control de larva de la mosca del poroto (Delia platura) y complejo de hongos del suelo que pueden afectar la germinación de la semilla.
Lenteja
EL cultivo de enteja se encuenta en la fase floración y llenado de grano. Siembras tardías monitorear la presencia de Roya de la lenteja (Uromyces fabae), ante aparición de pustulas de color cobrizo realizar aplicaciones de fungicidas de forma inmediata. Cualquier retraso en la aplicación significará una disminución importante en el rendimiento. Si cuenta con disponibilidad de riego rendimiento se verán incrementados.
Precordillera > Cultivos > Trigo
Los trigos tanto de invierno, hábito alternativo como primaveral se encuentran en inicio de espigadura y/o floración.
Es importante determinar la aparición de alguna enfermedad foliar, como podría ser polvillos o royas.
En las zonas de secano, hasta la fecha aún hay buena disponibilidad de humedad.
En trigos de primavera es necesario evaluar la disponibilidad de agua en el suelo para determinar la necesidad de regar. Desde espigadura y hasta el estado de grano masoso no debe haber falta de humedad para el cultivo.
Secano Costero > Hortalizas
Esta primavera inusual con mañanas muy heladas y tardes calurosas, permiten un desarrollo normal de la mayoría de las hortalizas, especialmente las de invernadero. En invernadero estamos con llenado de fruto y prontos a iniciar cosecha, en cultivos primores de tomate y pepino. El poroto verde y pimiento son más tardíos. En el caso del pimiento, si solo se tiene ese cultivo en invernadero, considerar al lado poniente del techo colocar malla tipo Rachel al 50% para evitar golpe de sol una vez que los frutos están listos para cosechar.
En exterior los cultivos de ajo y chalota están en pleno desarrollo vegetativo e iniciando bulbificación, la preocupación para ellos debe ser el mantener libres de malezas alrededor de la planta. Estamos en fecha de trasplante de cebolla de guarda hasta noviembre, idealmente en asociación con tomillo para evitar daño de la mosca de la cebolla (Delia antiqua M). Se recomienda realizar aplicaciones semanales de té de compost foliar. Considerando que los veranos son cada vez más secos, los ajos y chalotas, son una alternativa interesante ya que se cosechan en enero y previamente se les realiza un corte del riego para que la maduración y guarda sea adecuada.
Terminada la cosecha de habas picar el follaje e incorporarlo al suelo como abono verde, luego de un par de semanas es ideal rotar con brássicas o maíz para aprovechar el nitrógeno que ha quedado disponible en el suelo. Estamos aún en época de siembre de porotos y maíz, también de todas las brássicas como repollo, coliflor, brócoli y repollo de bruselas. Estas últimas se pueden plantar en forma escalonada hasta principios de febrero. La mayor preocupación es la disponibilidad de agua para riego, ya que estos cultivos requieren de riego periódico para obtener buen desarrollo vegetativo, y buen rendimiento.
En el cultivo de espárragos estamos terminando la cosecha, considerar riego profundo y abonado para favorecer el desarrollo del follaje y con ello la guarda de carbohidratos en la corona, lo que asegura la cosecha productiva del año siguiente.
En este mes se establecen al aire libre todos los cultivos de cucurbitáceas como zapallo, sandía y melón, sobre suelo regado.
Considerar el uso de cubiertas plásticas u orgánicas (pajas descompuestas, cartones, virutas, etc.) sobre hilera, para evitar la perdida acelerada de humedad y ralentizar la emergencia de malezas en los cultivos de huerta e invernadero.
Siempre debe instalarse el riego por goteo, regar adecuadamente el suelo, y luego realizar la plantación o siembra, así evitamos la perdida de plantas por estrés hídrico.
Reciclar residuos prediales para re incorporarlos al sistema productivo como materia orgánica estabilizada y no quemar rastrojos, asegura un suelo con cada vez mejor potencial productivo.
Es prioritario asegurar los recursos hídricos para obtener buenos rendimientos y calidad de productos.
Secano Costero > Cultivos > Trigo
Los trigos se encuentran en el estado de fin de espigadura e iniciando el periodo de llenado de grano. En esta etapa de desarrollo hay que seguir observando la posible aparición de enfermedades foliares.
Secano Interior > Cultivos > Leguminosas
Lenteja
EL cultivo de enteja se encuenta en la fase floración y llenado de grano. Siembras tardías monitorear la presencia de Roya de la lenteja (Uromyces fabae), ante aparición de pustulas de color cobrizo realizar aplicaciones de fungicidas de forma inmediata. Cualquier retraso en la aplicación significará una disminución importante en el rendimiento
Secano Interior > Cultivos > Trigo
Los trigos se encuentran en estado de grano masoso. En esta etapa de desarrollo del cultivo solo se debe esperar la madurez de cosecha, la cual debería ocurrir no más allá de la primera quincena de diciembre.
Secano Interior > Ganadería
Ovinos: Se encuentran en plena lactancia, por lo que preocuparse de los siguientes aspectos:
a) La alimentación de las hembras (madres), preocuparse que los vientres que están amamantando tengan suficiente forraje y de calidad. Debido a que una oveja bien alimentada, produce más leche. Esta mayor producción de leche incidirá en el crecimiento del cordero y el mayor instinto maternal de las ovejas.
b) Suministrar a todos los ovinos, complejos minerales (block o piedras), para un mejor aprovechamiento del forraje que se les está proporcionando.
c) No descuidar el abastecimiento de agua de bebida, que sea limpia, ya que es fundamental para una buena producción de leche.
d) Vacunar contra enterotoxemia a la cría cuando tengan un mes de edad; y luego de unos días dosificar antiparasitario.
e) Dosificar contra parásitos gastrointestinales, pulmonares y fasciola hepática o también conocida como “pirihuín”, en los adultos (hembras y machos) que se encuentren pastoreando en sectores bajos y húmedos del predio.
f) Si realiza descole en las hembras, ojalá en días frescos, y asperjar desinfectante en herida. Recordar el bienestar animal, ante todo.
g) Preocuparse de la recría de borregas que aún siguen creciendo y debieran acceder a mejores praderas o suplementar, si es necesario.
h) Se debe cuidar al rebaño del ataque de predadores como perros y zorros, que en esta época son habituales. Se puede realizar corrales nocturnos con malla hexagonal o bizcocho como también se puede utilizar guardianes de rebaños.
Bovinos: Están en plena lactancia, por lo que preocuparse de los siguientes aspectos:
a) Asegurar que las hembras, posean suficiente forraje, por lo tanto, si es necesario seguir suplementando con forraje conservado. A su vez, disponer de residuos de molinería que pueden ser usados como suplementación y agregar algo de grano, a las raciones.
b) Revisar periódicamente los comederos o canoas y repararlos si existen problemas.
c) Disponer sales minerales a libre disposición en aquellos potreros donde se encuentren los animales.
d) No descuidar el abastecimiento de agua de bebida, que sea limpia, ya que es fundamental para una buena producción de leche.
e) Evitar el estrés en el arreo de los animales, debido a uso de perros u otros utensilios. Cuidar siempre del bienestar animal.
f) Comenzar el encaste, que debería durar dos meses, para que las pariciones sean durante agosto y septiembre, época cuando hay la mayor producción de forraje de las praderas naturales como sembradas.
g) Realizar la compra e instalación de aretes insecticidas, para la mosca de los cuernos. A su vez, desparasitar y vacunar al rebaño.
Secano Interior > Praderas
Aún se observa crecimiento en las praderas en las partes de vegas, lo que se ha reflejado en una adecuada producción de forraje. En sectores de lomas las praderas ya comenzaron a madurar y secarse, y en sectores bajos y de mayor cobertura de espinos aún hay forraje verde, producto de las últimas precipitaciones por lo que en general, la disponibilidad de forraje en cantidad y calidad no ha disminuido en estos sectores, momento no se aprecian problemas alimenticios.
En sectores de lomajes dejar en rezago para evitar consumo de frutos y semillas por sobretalajeo, y pastorear sectores bajos que aún permanecen verdes. Dejar potreros de rezago para época estival de verano.
Las siembras efectuadas durante esta temporada debieran ser pastoreadas con una carga animal moderada, cuidando que animales no consuman frutos y para permitir una adecuada producción de semillas.
Respecto de la respuesta fisiológica de las plantas al efecto del clima, las imágenes satelitales reflejan la magnitud del crecimiento o disminución de la cobertura vegetal en esta época del año mediante el índice de vegetación NDVI (Desviación Normalizada del Índice de Vegetación).
Para esta quincena se observa un NDVI promedio regional de 0.77 mientras el año pasado había sido de 0.74. El valor promedio histórico para esta región, en este período del año es de 0.7.
El resumen regional en el contexto temporal se puede observar en el siguiente gráfico.
/R16_NDVI_barras_regional.png)
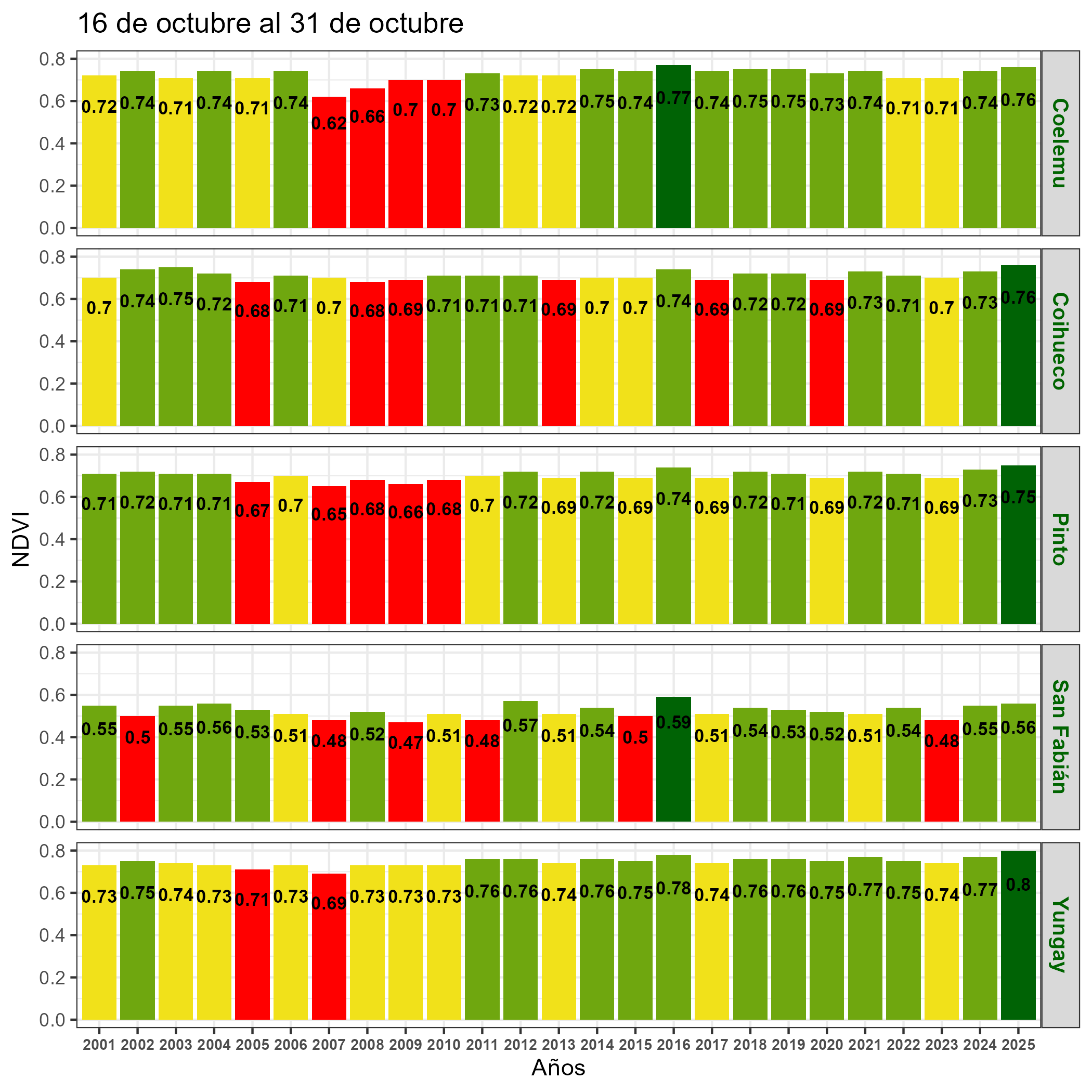
La situación por comunas se presenta en el siguiente gráfico, donde se presentan las comunas con índices más bajos.
/R16_NDVI_barras_comunas.png)
/R16_NDVI.png)
/R16_ANOMALIA_NDVI.png)
/R16_DIFERENCIA_NDVI.png)
Para el monitoreo del estado de la vegetación en la Región se utilizó el índice de condición de la vegetación, VCI (Kogan, 1990, 1995). Este índice se encuentra entre valores de 0% a 100%. Valores bajo 40% se asocian a una condición desfavorable en la vegetación, siendo 0% la peor condición histórica y 100% la mejor (tabla 1).
En términos globales la Región presentó un valor mediano de VCI de 91% para el período comprendido desde el 16 al 31 de octubre. A igual período del año pasado presentaba un VCI de 73% (Fig. 1). De acuerdo a la Tabla 1 la Región de Ñuble, en términos globales presenta una condición Favorable.
Tabla 1. Clasificación de la condición de la vegetación de acuerdo a los valores del índice VCI.

Tabla 2. Resumen de la condición de la vegetación comunal en la Región de acuerdo al análisis del índice VCI.
 (En Evaluación)/R16_RESUMEN_VCI.png)
 (En Evaluación)/R16_VCI_barras_regional.png)
Figura 1. Valores del índice VCI para el mismo período entre los años 2000 al 2022 para la Región de Ñuble
 (En Evaluación)/R16_VCI_barras_regional_Matorrales.png)
Figura 2. Valores promedio de VCI en Matorrales en la Región de Ñuble
 (En Evaluación)/R16_VCI_barras_regional_Praderas.png)
Figura 3. Valores promedio de VCI en praderas en la Región de Ñuble
 (En Evaluación)/R16_VCI_barras_regional_Agrícolas.png)
Figura 4. Valores promedio de VCI en terrenos de uso agrícola en la Región de Ñuble
 (En Evaluación)/R16_VCI.png)
Figura 5. Valores comunales promedio de VCI en la Región de Ñuble de acuerdo a la clasificación de la Tabla 1.
Las comunas que presentan los valores más bajos del índice VCI en la Región corresponden a San Fabián, Coihueco, Pinto, Yungay y Coelemu con 73, 77, 79, 84 y 87% de VCI respectivamente.
 (En Evaluación)/R16_VCI_barras_comunas.png)
Figura 6. Valores del índice VCI para las 5 comunas con valores más bajos del índice del 16 al 31 de octubre.
A continuación se presenta la predicción del VCI para los próximos 3 meses:
 (En Evaluación)/R16_VCI_prediccion_20251117.png)
Figura 7. Predicción del VCI para el período del 17 de noviembre al 2 de diciembre de 2025.
 (En Evaluación)/R16_VCI_prediccion_20251219.png)
Figura 8. Predicción del VCI para el período del 19 de diciembre al 3 de enero de 2025.
 (En Evaluación)/R16_VCI_prediccion_20260120.png)
Figura 9. Predicción del VCI para el período del 20 de enero al 4 de febrero de 2025.