
Boletín Nacional de Análisis de Riesgos Agroclimáticos para las Principales Especies Frutales y Cultivos y la Ganadería
NOVIEMBRE 2025 — REGIÓN COQUIMBO
Autores INIA
Claudio Balbontín Nesvara, Ing. Agrónomo, Dr., Intihuasi
Francisco Tapia Contreras, Ing. Agrónomo, MSc., Intihuasi
Erica González Villalobos, Téc. Biblioteca, Intihuasi
Cornelio Contreras Seguel, Ing. Agrónomo, Intihuasi
Rodrigo Candia Antich, Ingeniero Agronomo M.Sc., La Platina
Nicolás Verdugo, Ing. Agrónomo, Dr., Intihuasi, Investigador, Intihuasi
Giovanni Lobos, Ing. Agrónomo, Mg., Intihuasi, Investigador, Intihuasi
Alvaro Castillo, Técnico Agr., INIA Intihuasi, Tecnico Agricola, Intihuasi
Marcel Fuentes Bustamante, Ingeniero Civil Agrícola MSc., Quilamapu
Jaime Salvo Del Pedregal, Ing. Agrónomo Ph.D, La Cruz
Raúl Orrego, Ingeniero en Recursos Naturales, Dr, Quilamapu
René Sepúlveda, Ingeniero Civil Agrícola (C), Quilamapu
Coordinador INIA: Jaime Salvo Del Pedregal, Ing. Agrónomo Ph.D, La Cruz
La IV Región de Coquimbo presenta varios climas diferentes: 1 clima de la tundra (ET) en Los Cuartitos, Balada, Miraflores, Piuquenes y Puquios; 2 Clima mediterráneo de verano cálido (Csb) en El Polvo, El Espino, Canela, Coirón, Las Jarillas; 3 Climas fríos y semiáridos (BSk) en Las Trancas, Matancilla, Posesión, La Toroya y Junta de Chingoles; y 4 los que predominas son los climas fríos del desierto (BWk) en Huanta, Tilo, Balala, Juntas del Toro, Tabaco Alto.
Este boletín agroclimático regional, basado en la información aportada por www.agromet.cl y https://agrometeorologia.cl/ , así como información auxiliar de diversas fuentes, entrega un análisis del comportamiento de las principales variables climáticas que inciden en la producción agropecuaria y efectúa un diagnóstico sobre sus efectos, particularmente cuando estos parámetros exhiban comportamientos anómalos que pueden afectar la cantidad o la calidad de la producción.



En la Región de Coquimbo, las condiciones meteorológicas del trimestre siguen marcadas por la fase La Niña, con ausencia de precipitaciones y temperaturas máximas y mínimas sobre lo normal, lo que incrementa la evapotranspiración y la demanda hídrica. Los caudales presentan variaciones mixtas: algunos ríos como el Choapa muestran incrementos puntuales, mientras otros, como el Elqui y el Hurtado, continúan con descensos significativos . En aguas subterráneas se observan ascensos en sectores del Elqui Alto y Choapa Medio, aunque persisten descensos en áreas del Limarí . Para los rubros agrícolas, especialmente olivo y nogal en secano, se recomienda mantener humedad adecuada del suelo, ajustar riegos según monitoreo, continuar fertilización y controlar plagas como mosquita blanca, conchuela negra y polilla de la manzana. Se enfatiza evitar estrés hídrico en etapas sensibles y realizar manejos oportunos según pronósticos locales .
Estación Ajial de Quiles
La estación Ajial de Quiles corresponde al distrito agroclimático 3-4-3. Para este distrito climático la temperatura mínima, media y máxima climatológicas alcanzan los 6.8°C, 13.3°C y 19.8°C respectivamente. Por su parte, respecto a las temperaturas medidas durante el mes de octubre en la estación: la temperatura mínima alcanzo los 6.6°C (-0.2°C bajo la climatológica), la temperatura media 14.6°C (1.3°C sobre la climatológica) y la temperatura máxima llegó a los 22.8°C (3°C sobre la climatológica). En el mes de octubre se registró una pluviometría de 1.1 mm, lo cual representa un 18.3% con respecto al mismo mes de un año normal. De enero a octubre se ha registrado un total acumulado de 227 mm, en circunstancias que un año normal registraría a la fecha 183 mm, lo que representa un superávit de 24%. A la misma fecha, durante el año 2024 la precipitación alcanzaba los 1.1 mm.



Estación Chaguaral
La estación Chaguaral corresponde al distrito agroclimático 4-7. Para este distrito climático la temperatura mínima, media y máxima climatológicas alcanzan los 7.8°C, 15.4°C y 23°C respectivamente. Por su parte, respecto a las temperaturas medidas durante el mes de octubre en la estación: la temperatura mínima alcanzo los 9.9°C (2.1°C sobre la climatológica), la temperatura media 18.5°C (3.1°C sobre la climatológica) y la temperatura máxima llegó a los 26.8°C (3.8°C sobre la climatológica). En el mes de octubre se registró una pluviometría de 0 mm, lo cual representa un 0% con respecto al mismo mes de un año normal. De enero a octubre se ha registrado un total acumulado de 141.9 mm, en circunstancias que un año normal registraría a la fecha 233 mm, lo que representa un déficit de 39.1%. A la misma fecha, durante el año 2024 la precipitación alcanzaba los 5.2 mm.



Estación El Palqui
La estación El Palqui corresponde al distrito agroclimático 4-7. Para este distrito climático la temperatura mínima, media y máxima climatológicas alcanzan los 8.8°C, 17.6°C y 26.5°C respectivamente. Por su parte, respecto a las temperaturas medidas durante el mes de octubre en la estación: la temperatura mínima alcanzo los 9.3°C (0.5°C sobre la climatológica), la temperatura media 18°C (0.4°C sobre la climatológica) y la temperatura máxima llegó a los 26.6°C (0.1°C sobre la climatológica). En el mes de octubre se registró una pluviometría de 0 mm, lo cual representa un 0% con respecto al mismo mes de un año normal. De enero a octubre se ha registrado un total acumulado de 125 mm, en circunstancias que un año normal registraría a la fecha 178 mm, lo que representa un déficit de 29.8%. A la misma fecha, durante el año 2024 la precipitación alcanzaba los 2.5 mm.



Estación Huentelauquén
La estación Huentelauquén corresponde al distrito agroclimático 4-1. Para este distrito climático la temperatura mínima, media y máxima climatológicas alcanzan los 8.6°C, 13.2°C y 17.9°C respectivamente. Por su parte, respecto a las temperaturas medidas durante el mes de octubre en la estación: la temperatura mínima alcanzo los 5.2°C (-3.4°C bajo la climatológica), la temperatura media 11°C (-2.2°C bajo la climatológica) y la temperatura máxima llegó a los 16.7°C (-1.2°C bajo la climatológica). En el mes de octubre se registró una pluviometría de 1.2 mm, lo cual representa un 20% con respecto al mismo mes de un año normal. De enero a octubre se ha registrado un total acumulado de 141.8 mm, en circunstancias que un año normal registraría a la fecha 157 mm, lo que representa un déficit de 9.7%. A la misma fecha, durante el año 2024 la precipitación alcanzaba los 3.2 mm.



Estación La Polvareda
La estación La Polvareda corresponde al distrito agroclimático 3-4-2. Para este distrito climático la temperatura mínima, media y máxima climatológicas alcanzan los 7.4°C, 15.5°C y 23.7°C respectivamente. Por su parte, respecto a las temperaturas medidas durante el mes de octubre en la estación: la temperatura mínima alcanzo los 7.8°C (0.4°C sobre la climatológica), la temperatura media 16°C (0.5°C sobre la climatológica) y la temperatura máxima llegó a los 24.2°C (0.5°C sobre la climatológica). En el mes de octubre se registró una pluviometría de 0 mm, lo cual representa un 0% con respecto al mismo mes de un año normal. De enero a octubre se ha registrado un total acumulado de 103.3 mm, en circunstancias que un año normal registraría a la fecha 165 mm, lo que representa un déficit de 37.4%. A la misma fecha, durante el año 2024 la precipitación alcanzaba los 0.4 mm.



Estación Las Naranjas
La estación Las Naranjas corresponde al distrito agroclimático 3-4-3. Para este distrito climático la temperatura mínima, media y máxima climatológicas alcanzan los 6.8°C, 13.2°C y 19.6°C respectivamente. Por su parte, respecto a las temperaturas medidas durante el mes de octubre en la estación: la temperatura mínima alcanzo los 8°C (1.2°C sobre la climatológica), la temperatura media 16.2°C (3°C sobre la climatológica) y la temperatura máxima llegó a los 24.3°C (4.7°C sobre la climatológica). En el mes de octubre se registró una pluviometría de 0.3 mm, lo cual representa un 6% con respecto al mismo mes de un año normal. De enero a octubre se ha registrado un total acumulado de 213.9 mm, en circunstancias que un año normal registraría a la fecha 179 mm, lo que representa un superávit de 19.5%. A la misma fecha, durante el año 2024 la precipitación alcanzaba los 0.3 mm.



Estación Quilimarí
La estación Quilimarí corresponde al distrito agroclimático 4-1. Para este distrito climático la temperatura mínima, media y máxima climatológicas alcanzan los 8.1°C, 13.2°C y 18.2°C respectivamente. Por su parte, respecto a las temperaturas medidas durante el mes de octubre en la estación: la temperatura mínima alcanzo los 7.8°C (-0.3°C bajo la climatológica), la temperatura media 12.8°C (-0.4°C bajo la climatológica) y la temperatura máxima llegó a los 18.2°C (Igual la climatológico). En el mes de octubre se registró una pluviometría de 3.5 mm, lo cual representa un 38.9% con respecto al mismo mes de un año normal. De enero a octubre se ha registrado un total acumulado de 259.1 mm, en circunstancias que un año normal registraría a la fecha 229 mm, lo que representa un superávit de 13.1%. A la misma fecha, durante el año 2024 la precipitación alcanzaba los 5.7 mm.



FLUVIOMETRÍA
Durante octubre los principales ríos de la Región de Coquimbo mostraron comportamientos mixtos respecto de septiembre: Elqui, Hurtado y Grande disminuyeron su caudal, mientras que Choapa presentó un incremento significativo.
Así, para el período de octubre la estación Río Elqui en Algarrobal registró un caudal de 2,5 m3/s, 70,2% por debajo del promedio histórico (8,4 m3/s), y 7,4% menor que en 2024 (2,7 m3/s). En relación al mes anterior (3,6 m3/s), el caudal disminuyó un 30,6%.

Boletín Información Pluviométrica, Fluviométrica, Estado de Embalses y Aguas Subterráneas (N° 570 octubre 2025)
De la misma manera, en la estación Río Hurtado en San Agustín el caudal fue de 1,1 m3/s, 56,0% por debajo del promedio histórico (2,5 m3/s) y 38,9% menor respecto al mismo periodo del año pasado (1,8 m3/s). Respecto de septiembre (1,2 m3/s), el caudal disminuyó un 8,3%.


Boletín Información Pluviométrica, Fluviométrica, Estado de Embalses y Aguas Subterráneas (N° 570 octubre 2025)
Asimismo, la estación Río Grande en Las Ramadas registró 2,5 m3/s, 57,6% por debajo del promedio histórico (5,9 m3/s) y 46,8% menor frente a 2024 (4,7 m3/s). En comparación con el mes anterior (2,3 m3/s), aumentó un 8,7%.

Boletín Información Pluviométrica, Fluviométrica, Estado de Embalses y Aguas Subterráneas (N° 570 octubre 2025)
Finalmente, en la estación Río Choapa en Cuncumén el caudal de 5,1 m3/s se ubicó 61,7% por debajo del promedio histórico (13,3 m3/s) y 75,6% menor que en 2024 (20,9 m3/s). Frente a septiembre (3,4 m3/s), aumentó un 50,0%.


Boletín Información Pluviométrica, Fluviométrica, Estado de Embalses y Aguas Subterráneas (N° 570 octubre 2025)
En términos generales, todos los ríos de la región mantienen caudales muy por debajo del promedio histórico, con déficits marcados en el río Choapa (-61,7%) y en el río Elqui (-70,2%). Al comparar con septiembre de 2025, se aprecia un descenso mensual en Elqui (-30,6%) y Hurtado (-8,3%), mientras que Grande (+8,7%) y Choapa (+50,0%) presentan aumentos de distinta magnitud. En comparación con octubre de 2024, todos los ríos muestran caídas significativas, especialmente el Choapa (-75,6%) y el Grande (-46,8%).
| Río | Octubre 2025 (m³/s) |
Promedio (m³/s) |
Variación 2025 vs Prom. |
Octubre 2024 (m³/s) |
Variación 2025 vs 2024 |
Septiembre 2025 (m³/s) |
Variación Oct vs Sept |
|---|---|---|---|---|---|---|---|
| Río Elqui | 2,5 | 8,4 | -70,2% | 2,7 | -7,4% | 3,6 | -30,6% |
| Río Hurtado | 1,1 | 2,5 | -56,0% | 1,8 | -38,9% | 1,2 | -8,3% |
| Río Grande | 2,5 | 5,9 | -57,6% | 4,7 | -46,8% | 2,3 | +8,7% |
| Río Choapa | 5,1 | 13,3 | -61,7% | 20,9 | -75,6% | 3,4 | +50,0% |
AGUAS SUBTERRÁNEAS y EMBALSES
El pozo Punta de Piedra (acuífero Elqui, sector Elqui Bajo) registró en octubre un nivel estático en torno a 158 m.s.n.m., equivalente a unos 38 m desde la superficie, manteniéndose en valores similares a los observados en los meses previos y sin cambios significativos en la tendencia de los últimos meses.

Boletín Información Pluviométrica, Fluviométrica, Estado de Embalses y Aguas Subterráneas (N° 570 octubre 2025)
En el pozo Barraza (acuífero Río Limarí, sector Río Limarí), el nivel estático en octubre se situó en torno a 74,5 m.s.n.m., equivalente a aproximadamente 3,5 m desde la superficie. Este valor se ubica levemente por sobre los registros de comienzos de año, confirmando una incipiente recuperación del nivel freático durante 2025.

Boletín Información Pluviométrica, Fluviométrica, Estado de Embalses y Aguas Subterráneas (N° 570 octubre 2025)
En el sector Illapel, el pozo Pueblo Cárcamo (acuífero Río Choapa, sector Illapel) mostró en octubre un nivel en torno a 458 m.s.n.m., equivalente a cerca de 11 m desde la superficie. Este valor es similar al observado en los meses anteriores, aunque se mantiene por debajo de los niveles registrados entre 2022 y comienzos de 2024, evidenciando un descenso sostenido en el período más reciente.

Boletín Información Pluviométrica, Fluviométrica, Estado de Embalses y Aguas Subterráneas (N° 570 octubre 2025)
Por otro lado, el embalse La Paloma registró al 31 de octubre un volumen de 86,1 millones de m3, lo que representa un aumento de 5,0% respecto al mismo mes de 2024 (82,0 millones de m3). Este valor equivale a cerca del 19% del promedio histórico mensual (441 millones de m3) y corresponde aproximadamente al 11,5% de su capacidad total de almacenamiento (750 millones de m3).

Boletín Información Pluviométrica, Fluviométrica, Estado de Embalses y Aguas Subterráneas (N° 570 octubre 2025)
Cordillera > Frutales > Olivo
El olivo en la macrozona Norte Chico avanza en su etapa de crecimiento y endurecimiento inicial del fruto, un periodo especialmente sensible a las temperaturas altas proyectadas, que pueden aumentar la caída de drupas y acelerar la pérdida de humedad del suelo. Por ello, se recomienda ajustar el riego según la evapotranspiración de cada cuartel, priorizando los suelos de menor retención y evitando ciclos largos que generen estrés hídrico, ya que este afecta directamente el tamaño final del fruto y la futura acumulación de aceite. Las condiciones cálidas del trimestre favorecen además el desarrollo de plagas como polilla del olivo, chanchito blanco y escama, por lo que se debe mantener una vigilancia constante, especialmente en zonas con antecedentes de ataques severos. En olivares ubicados entre los 900 y 1.400 metros, donde la alternancia productiva suele ser más marcada, se aconseja revisar la carga y aplicar nutrición foliar balanceada para sostener el crecimiento en un escenario de mayor evaporación. También es importante monitorear signos de estrés por altas temperaturas, como marchitez vespertina y quemado en hojas expuestas, y considerar aplicaciones de protectores solares cuando las máximas superen los umbrales habituales para la zona. Bajo estas condiciones secas y cálidas, resulta clave evitar podas intensas que aumenten la exposición directa del fruto y continuar con el programa de fertilización planificado para asegurar un desarrollo uniforme del olivar en un trimestre exigente para el cultivo.
Precordillera > Frutales > Nogal
El cultivo de nogal en el Norte Chico enfrenta una temporada marcada por brotaciones retrasadas en Serr y Chandler, junto a lluvias seguidas de heladas que ya redujeron la producción estimada en un 20–30%, y que obligan a extremar cuidados frente al trimestre cálido y seco que se proyecta para la zona. Con los frutos en desarrollo, etapa altamente sensible al estrés hídrico, se recomienda ajustar el riego verificando previamente la humedad del suelo para definir tiempos y frecuencia, evitando déficits que reduzcan calibre o generen desuniformidad. El aumento de las temperaturas también favorece la actividad de plagas, por lo que debe mantenerse el monitoreo de la segunda generación de polilla de la manzana, así como de escamas, pulgón del nogal y arañitas. Dado que el crecimiento del fruto es disparejo por la baja acumulación de frío invernal y la primavera fría, se aconseja aplicar aminoácidos y correctores foliares que ayuden a la planta a recuperarse del estrés acumulado. Además, el pronóstico de mayor radiación y calor incrementa el riesgo de golpe de sol en las nueces, lo que hace necesaria la aplicación de bloqueadores solares. Las lluvias primaverales también aumentan la probabilidad de peste negra o BAN, por lo que conviene reforzar las revisiones del huerto y continuar con el programa nutricional de la época para sostener un desarrollo óptimo del fruto en un contexto climático más riguroso.
Precordillera > Frutales > Uva de mesa
La uva de mesa en la macrozona Norte Chico se encuentra en plena fase de crecimiento y maduración de bayas, un periodo especialmente sensible a las temperaturas altas proyectadas para el trimestre, que pueden acelerar el metabolismo del racimo y comprometer el tamaño final de las bayas si no se maneja adecuadamente el riego. Por ello, se recomienda ajustar la reposición hídrica según la evapotranspiración diaria, evitando tanto el déficit que reduce calibre como los excesos que favorecen partidura. En esta etapa es clave mantener un follaje equilibrado mediante deshoje moderado en la zona de racimos para mejorar la aireación sin exponerlos directamente al sol, ya que el pronóstico indica mayor riesgo de quemado por radiación. Se aconseja monitorear con frecuencia la presencia de oídio, cuyo desarrollo se intensifica con noches más cálidas, y aplicar tratamientos preventivos según el umbral de riesgo. Dado que la escasez de agua continuará afectando la zona, es útil revisar uniformidad de riego, corregir obturaciones y priorizar sectores más sensibles como cuarteles jóvenes o con suelos de baja retención. Asimismo, se deben programar aplicaciones nutricionales foliares que sostengan el crecimiento de la baya sin inducir vigor excesivo, especialmente en un trimestre donde el estrés térmico puede alterar la calidad y la firmeza del fruto.
Valle Transversal > Hortalizas
Las hortalizas de la macrozona Norte Chico atraviesan etapas de crecimiento activo y desarrollo de frutos en un contexto climático exigente, marcado por temperaturas más altas de lo habitual y una evaporación acelerada que obliga a ajustar los programas de riego para evitar pérdidas de humedad que afecten rendimiento y calidad. Se recomienda revisar diariamente la humedad del suelo y preferir riegos más frecuentes y de menor duración, especialmente en cultivos de ciclo corto como lechuga, cilantro y espinaca, que muestran estrés con rapidez bajo calor intenso. El incremento térmico también favorece la proliferación de plagas como pulgones, trips y mosquita blanca, por lo que es clave fortalecer el monitoreo y aprovechar el control biológico cuando sea posible, reduciendo aplicaciones innecesarias. En hortalizas de fruto como tomate, pimentón y zapallo italiano, se aconseja instalar mallas de sombreo en horas críticas para evitar quemado por sol y disminuir el estrés hídrico, además de mantener una fertilización equilibrada que sostenga el crecimiento sin inducir excesos vegetativos. La ausencia de precipitaciones hace necesario reforzar el manejo sanitario frente a oídio y botritis, enfermedades que pueden aparecer por humedad localizada en riegos mal dirigidos. En este trimestre cálido y seco, un manejo cuidadoso del agua, la sanidad y la ventilación del cultivo es determinante para asegurar una buena productividad en los huertos hortícolas de la región.
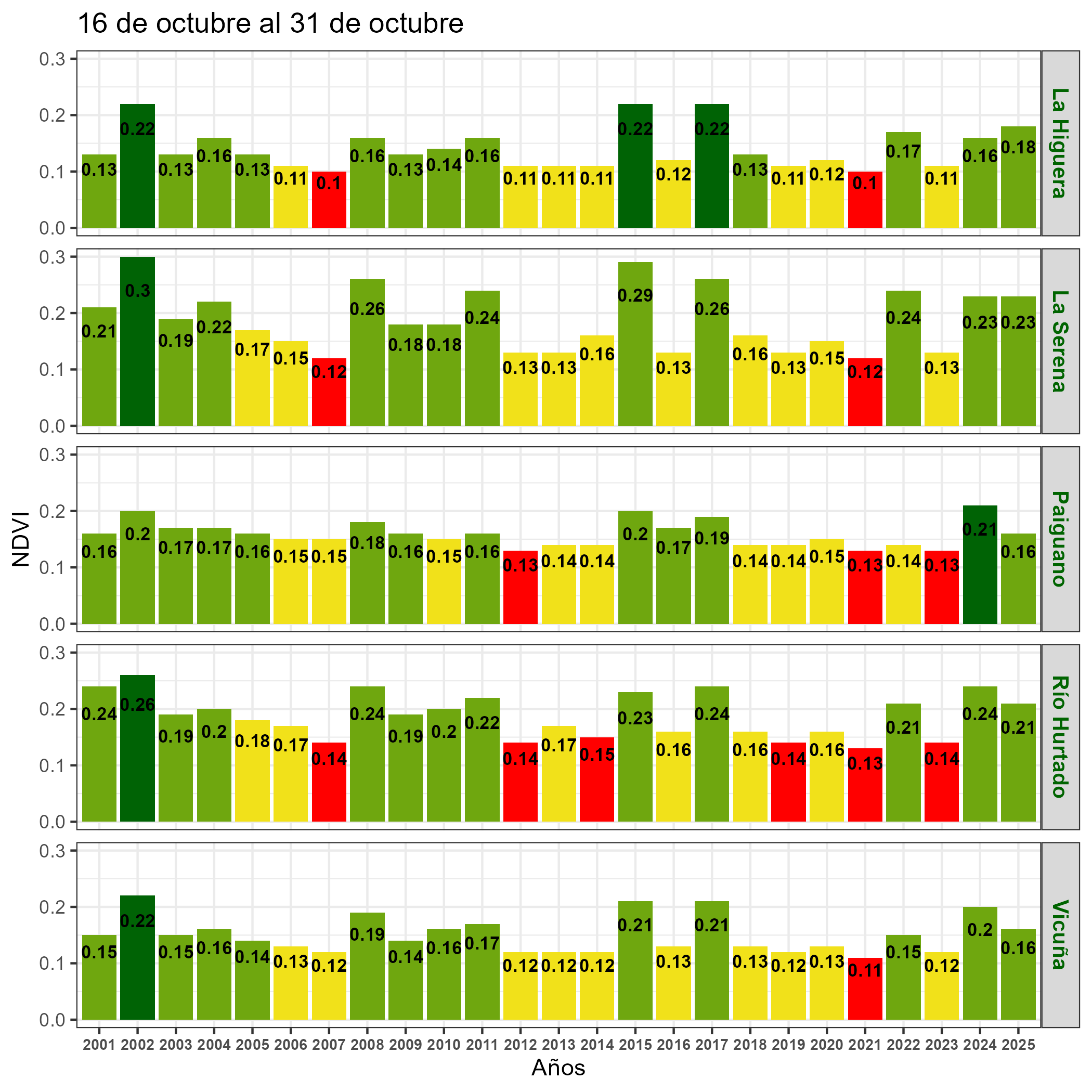
Respecto de la respuesta fisiológica de las plantas al efecto del clima, las imágenes satelitales reflejan la magnitud del crecimiento o disminución de la cobertura vegetal en esta época del año mediante el índice de vegetación NDVI (Desviación Normalizada del Índice de Vegetación).
Para esta quincena se observa un NDVI promedio regional de 0.3 mientras el año pasado había sido de 0.3. El valor promedio histórico para esta región, en este período del año es de 0.24.
El resumen regional en el contexto temporal se puede observar en el siguiente gráfico.
/R04_NDVI_barras_regional.png)
La situación por comunas se presenta en el siguiente gráfico, donde se presentan las comunas con índices más bajos.
/R04_NDVI_barras_comunas.png)
/R04_NDVI.png)
/R04_ANOMALIA_NDVI.png)
/R04_DIFERENCIA_NDVI.png)
Para el monitoreo del estado de la vegetación en la Región se utilizó el índice de condición de la vegetación, VCI (Kogan, 1990, 1995). Este índice se encuentra entre valores de 0% a 100%. Valores bajo 40% se asocian a una condición desfavorable en la vegetación, siendo 0% la peor condición histórica y 100% la mejor (tabla 1).
En términos globales la Región presentó un valor mediano de VCI de 77% para el período comprendido desde el 16 al 31 de octubre. A igual período del año pasado presentaba un VCI de 78% (Fig. 1). De acuerdo a la Tabla 1 la Región de Coquimbo, en términos globales presenta una condición Favorable.
Tabla 1. Clasificación de la condición de la vegetación de acuerdo a los valores del índice VCI.

Tabla 2. Resumen de la condición de la vegetación comunal en la Región de acuerdo al análisis del índice VCI.
 (En Evaluación)/R04_RESUMEN_VCI.png)
 (En Evaluación)/R04_VCI_barras_regional.png)
Figura 1. Valores del índice VCI para el mismo período entre los años 2000 al 2022 para la Región de Coquimbo
 (En Evaluación)/R04_VCI_barras_regional_Matorrales.png)
Figura 2. Valores promedio de VCI en Matorrales en la Región de Coquimbo
 (En Evaluación)/R04_VCI_barras_regional_Praderas.png)
Figura 3. Valores promedio de VCI en praderas en la Región de Coquimbo
 (En Evaluación)/R04_VCI_barras_regional_Agrícolas.png)
Figura 4. Valores promedio de VCI en terrenos de uso agrícola en la Región de Coquimbo
 (En Evaluación)/R04_VCI.png)
Figura 5. Valores comunales promedio de VCI en la Región de Coquimbo de acuerdo a la clasificación de la Tabla 1.
Las comunas que presentan los valores más bajos del índice VCI en la Región corresponden a Paiguano, Vicuña, La Higuera, Río Hurtado y La Serena con 46, 46, 58, 60 y 62% de VCI respectivamente.
 (En Evaluación)/R04_VCI_barras_comunas.png)
Figura 6. Valores del índice VCI para las 5 comunas con valores más bajos del índice del 16 al 31 de octubre.