
Boletín Nacional de Análisis de Riesgos Agroclimáticos para las Principales Especies Frutales y Cultivos y la Ganadería
OCTUBRE 2025 — REGIÓN ARAUCANÍA
Autores INIA
Héctor Pauchard Cuevas, Técnico Agrícola, INIA Carillanca
Rodrigo Bravo Herrera, Dr. en Ciencias Agrarias, Remehue
Claudio Jobet Fornazzari, Ing. Agrónomo Ph. D., INIA Carillanca
Paul Escobar Bahamondes, Ing Agr., MSc. PhD., INIA Carillanca
Juan Inostroza Fariña, Ing. Agrónomo, INIA Carillanca
Rafael A. López Olivari, M. Sc, en Horticultura. Dr. En Ciencias Agrarias, INIA Carillanca
Paulina Etcheverria Toirkens, Ingeniera Agronoma, Dra., INIA Carillanca
Claudia Osorio Ulloa, Ing. Agrónomo, Carillanca, Investigador, Carillanca
Gastón Gutiérrez Gamboa, Ingeniero Agrónomo, Carillanca
Marcel Fuentes Bustamante, Ingeniero Civil Agrícola MSc., Quilamapu
Jaime Salvo Del Pedregal, Ing. Agrónomo Ph.D, La Cruz
Raúl Orrego, Ingeniero en Recursos Naturales, Dr, Quilamapu
René Sepúlveda, Ingeniero Civil Agrícola (C), Quilamapu
Coordinador INIA: Jaime Salvo Del Pedregal, Ing. Agrónomo Ph.D, La Cruz
La IX Región de la Araucanía presenta tres climas diferentes: 1 Clima subalpino marítimo de verano seco (Csc) en Caren-Rumiñañi, Refugio Llaima, 2 clima oceánico (Cfb) en Ñancul, Villucura, Contraco, Troyo, Lolco y el que predomina 3 Clima mediterráneo de verano cálido (Csb) en Galvarino, Llanquén, El Traum, Liucura, Pehuenco.
Este boletín agroclimático regional, basado en la información aportada por www.agromet.cl y https://agrometeorologia.cl/ , así como información auxiliar de diversas fuentes, entrega un análisis del comportamiento de las principales variables climáticas que inciden en la producción agropecuaria y efectúa un diagnóstico sobre sus efectos, particularmente cuando estos parámetros exhiban comportamientos anómalos que pueden afectar la cantidad o la calidad de la producción.



Al iniciar el mes de octubre, es evidente que, a pesar de las precipitaciones de septiembre por encima de la media histórica, la región presenta un déficit pluviométrico acumulado. El invierno que concluimos registró una disminución notable en las lluvias, mostrando un desajuste en los patrones normales con un déficit promedio del 22% durante los meses invernales.
Septiembre, por su parte, ha registrado un superávit pluviométrico promedio en La Araucanía del 32,6% respecto a la media histórica. No obstante, este evento se enmarca dentro de la variabilidad climática experimentada este año, lo que nos impide tener certeza sobre el comportamiento de las lluvias en lo que resta del año.
Aunque los déficits invernales superiores al 20% generalmente no se recuperan completamente en primavera, existen antecedentes de años en los que condiciones de déficit pluviométrico invernal, gracias a regímenes de lluvias aceptables en primavera, han permitido que los cultivos de secano lleguen a cosecha en buenas condiciones. Esta es una posibilidad, aunque también podría ocurrir que se cumplan los pronósticos de la DMC, que indican una condición de normal a bajo lo normal durante la primavera y por otro lado el NOAA, confirma a la Niña hacia los próximos meses, lo que acentuaría los déficits pluviométricos.
De igual forma, las cifras acumuladas de lluvias a la fecha están por debajo del acumulado del año anterior y del histórico a igual fecha. En la Tabla 1 se muestran los porcentajes de déficit pluviométrico del 2025 a la fecha en comparación con las medias históricas y la relación con el año anterior a igual fecha por zona agroecológica.
Tabla 1, Balance pluviométrico acumulado por zona agroecológica al 30 de septiembre de 2025.
|
Zona agroclimática |
Acum. Al 30 sept 2025 |
Acum. Al 30 sept 2024 |
Acum. Hist. Al 30 sept |
Balance pluviométrico 2025 (mm) |
Déficit o superávit (%) |
|
Secano costero |
1005,0 |
1193,1 |
1120,6 |
115,6 |
-10,3 |
|
Secano interior |
586,5 |
783,2 |
662,7 |
76,2 |
-11,5 |
|
Valle secano |
968,0 |
1198,3 |
1087,0 |
119,4 |
-11 |
|
Precordillera |
1533,8 |
1771,5 |
1656,7 |
122,9 |
-7,4 |
|
Promedio Regional |
1023,3 |
1236,5 |
1131,8 |
108,5 |
-9,6 |
Respecto de la respuesta fisiológica de las plantas al efecto del clima, las imágenes satelitales reflejan la magnitud del crecimiento o disminución de la cobertura vegetal en esta época del año mediante el índice de vegetación NDVI (Desviación Normalizada del Índice de Vegetación). Para fines de septiembre se observa un NDVI promedio regional de 0.76 mientras el año pasado había sido de 0.68. El valor promedio histórico para esta región, en este período del año es de 0.7.
La información sobre las temperaturas medias del aire para el mes de septiembre extraídas de La Red Agrometeorológica de INIA https://agrometeorologia.cl/ . Hemos observado un repunte significativo de ellas, alcanzando un promedio regional de 9,5°C. Esto representa un aumento de 0,3°C en comparación con el mes anterior (9,2°C) y supera en 0,5°C la temperatura media histórica regional para septiembre (9,0°C).
Sin embargo, en varias comunas de la zona del valle secano se registró un retroceso de la temperatura respecto al promedio histórico, resultando en una anomalía negativa de 0,2°C en comparación con el promedio histórico de esa zona (8,8°C). Este antecedente se refleja en un aumento del promedio de heladas en esta área, pasando de 2 a 3,4 episodios promedio al mes en comparación con el mes anterior.
En general, se observó un aumento de la amplitud térmica en toda la región, con mañanas algo más frescas y tardes más cálidas.
Cuadro 1, Resume los datos de pluviometría y temperaturas del aire (medias, máximas, mínimas) por comuna correspondientes al mes de septiembre de 2025 en la Región de la Araucanía.
|
Localidad |
Precipitación acumulada mes de septiembre |
Precipitación acumulada 2025 |
Temperatura media del aire (°C) |
Temp mínima absoluta del aire (°C) |
Temp máxima absoluta del aire (°C) |
Número heladas del aire |
|
Vilcún |
135,8 |
836,4 |
9,4 |
-2,9 |
23,1 |
8 |
|
Lautaro |
150,2 |
899,4 |
9,5 |
-1,2 |
22,8 |
5 |
|
Temuco |
125,5 |
715,7 |
10,5 |
-2,2 |
23,2 |
4 |
|
Padre las Casas |
116,9 |
817,6 |
0,3 |
-0,9 |
22,3 |
1 |
|
Freire |
183,9 |
1239,3 |
10,2 |
-2,7 |
24,2 |
3 |
|
Pitrufquén |
144,3 |
1131,8 |
10,1 |
-0,4 |
22,3 |
2 |
|
Gorbea |
165,9 |
1136,0 |
10,4 |
-0,5 |
23,8 |
1 |
|
Loncoche |
180,2 |
1052,5 |
10,0 |
-2,3 |
22,9 |
2 |
|
Collipulli |
142,8 |
993,7 |
9,6 |
0,1 |
23,8 |
0 |
|
Ercilla |
151,4 |
1014,2 |
8,9 |
-1,0 |
22,6 |
5 |
|
Victoria |
186,3 |
1048,4 |
8,8 |
-1,6 |
22,5 |
6 |
|
Perquenco |
128,4 |
772,1 |
9,0 |
-0,4 |
21,2 |
2 |
|
Renaico |
94,7 |
772,1 |
11,0 |
0,0 |
24,9 |
1 |
|
Angol |
70,1 |
659,6 |
11,1 |
0,1 |
25,2 |
0 |
|
Los Sauces |
79,2 |
501,8 |
10,4 |
-0,8 |
22,8 |
2 |
|
Purén |
84,6 |
495,8 |
10,6 |
-1,8 |
23,3 |
3 |
|
Lumaco |
94,4 |
460,2 |
10,4 |
-2,6 |
25,1 |
3 |
|
Traiguén |
106,9 |
609,5 |
9,5 |
-0,7 |
22,4 |
2 |
|
Galvarino |
109,8 |
575,7 |
9,9 |
-0,1 |
21,9 |
2 |
|
Chol Chol |
91,3 |
584,2 |
9,9 |
-1,9 |
21,1 |
5 |
|
Imperial |
63,0 |
598,3 |
10,6 |
-0,5 |
22,4 |
4 |
|
Tranapuente |
127,8 |
915,5 |
9,2 |
-1,1 |
20,2 |
1 |
|
Pto Saavedra |
131,0 |
1009,9 |
10,3 |
2,4 |
20,9 |
0 |
|
Teod. Schmidt |
138,8 |
1028,5 |
10,6 |
-0,1 |
22,9 |
1 |
|
Toltén |
144,6 |
1065,7 |
10,4 |
0,0 |
21,4 |
1 |
|
Curacautín |
239,7 |
1071,4 |
8,4 |
-3,0 |
22,6 |
8 |
|
Melipeuco |
209,1 |
1006,5 |
10,3 |
-1,2 |
25,2 |
1 |
|
Cunco |
186,9 |
1189,8 |
10,0 |
-2,1 |
23,5 |
2 |
|
Villarrica |
222,9 |
1406,3 |
9,7 |
-1,4 |
24,9 |
5 |
|
Curarrehue |
301,7 |
1940,6 |
9,4 |
-3,4 |
24,2 |
4 |
|
Pucón |
349,8 |
2125,9 |
9,3 |
-3,2 |
25,0 |
6 |
|
Lonquimay |
106,9 |
565,6 |
5,9 |
-7,6 |
21,9 |
20 |
La situación de la pluviometría y temperatura media del aire, obtenida en el secano costero de la región se muestra en un clima diagrama en un horizonte de tiempo que abarca desde enero 2023 al mes de septiembre de 2025.

Figura1. Clima diagrama con datos meteorológicos obtenidos de Estación Meteorológica Tranapuente.
En el análisis pluviométrico se presentan las condiciones meteorológicas registradas en el secano costero de La Araucanía, cotejando los datos actuales con los promedios históricos y los registros del año anterior a la misma fecha.
Durante el mes de septiembre, se registraron 135,6 mm de precipitaciones, lo que representa un ligero aumento en comparación con los 122,8 mm del mes anterior. Este valor también supera el promedio histórico de 114,2 mm para esta zona, resultando en un superávit pluviométrico del 18,8% para el mes.
El acumulado pluviométrico hasta la fecha asciende a 1005,0 mm. Si bien esta cifra nos acerca a un equilibrio pluviométrico, implica un déficit del 10,3% en comparación con el acumulado histórico de 1120,6 mm. Cabe destacar que el acumulado de este año en la costa es inferior al registrado a la misma fecha del año anterior, que fue de 1230,1 mm.
Entre las comunas costeras que más han influido este mes en el acumulado anual es Toltén que presentó el mayor registro con 144,6 mm, mientras que Carahue, específicamente en el sector de Tranapuente, tuvo el menor aporte con 127,8 mm.
La temperatura media del aire en septiembre fue de 10,1 °C, superando en 0,5 °C el promedio histórico de 9,6 °C para esta zona. Este incremento por encima de la media histórica ya se había observado el mes anterior, dejando atrás la anomalía negativa que se presentó de abril a julio.
El promedio de las temperaturas máximas absolutas del mes fue de 21,4 °C, con un máximo de 22,9 °C registrado en la comuna de Teodoro Schmidt. Por otro lado, la temperatura promedio de las mínimas absolutas fue de 0,3 °C, con un mínimo de -1,1 °C en la comuna de Carahue, sector Tranapuente. Finalmente, el promedio mensual de episodios de heladas para este sector fue de 0,75 por mes, siendo el sector de Puerto Domínguez el único que no presentó heladas del aire.
La situación de la pluviometría y temperatura media del aire, obtenida en el secano interior de la región se muestra en un clima diagrama en un horizonte de tiempo que abarca desde enero 2023 al mes de septiembre de 2025.

Figura 2. Clima diagrama con datos meteorológicos obtenidos de Estación Meteorológica de San Rafael.
El déficit de precipitaciones en el secano interior, que se ha mantenido desde mayo, mostrando un cambio en el mes de septiembre en donde se registraron 91,4 mm de lluvia, superando en un 41,9% el promedio histórico de 64,4 mm para el mes. A pesar de esto, la precipitación acumulada en lo que va de 2025 es de 586,5 mm, lo que representa un déficit del 11,5% en comparación con el acumulado histórico de 662,7 mm. Durante septiembre, Galvarino fue la comuna con mayor precipitación (109,8 mm), mientras que Angol registró la menor cantidad (70,1 mm).
En cuanto a las temperaturas, la media del aire en septiembre fue de 10,3°C, superando en 0,3°C el promedio histórico mensual de 10,0°C y la temperatura observada el mes anterior de 9,5°C. Esta tendencia térmica indica una recuperación consistente, dejando atrás la anomalía negativa registrada durante el invierno en el secano interior de la región.
La temperatura promedio de las máximas absolutas aumentó de 20,2°C en el mes anterior a 23,5°C este mes. Por otro lado, la temperatura mínima absoluta mostró una anomalía negativa, pasando de 0,2°C a -1,0°C. Esto resultó en una mayor amplitud térmica y un aumento en el promedio de heladas en el sector, incrementándose de 0,7 a 2,0 episodios por mes.
La temperatura mínima absoluta se registró en Lumaco con -2,6°C. Las comunas al sur de esta zona agroecológica fueron las que presentaron el mayor número de días con heladas, registrando 5 días en el mes.
La situación de la pluviometría y temperatura media del aire, obtenida en el Valle secano de la región se muestra en un clima diagrama en un horizonte de tiempo que abarca desde enero 2023 al mes de septiembre de 2025.

Figura 3. Clima diagrama con datos meteorológicos obtenidos de Estación Meteorológica INIA Carillanca.
Las precipitaciones en la zona del valle secano fueron significativamente mayores hacia el sureste durante septiembre. La comuna de Freire registró 183,9 mm, contribuyendo sustancialmente al promedio pluviométrico de la zona, que alcanzó los 146,1 mm. Este promedio representa un superavit del 31% en comparación con la media histórica de 111,4 mm para el mes. No obstante, el acumulado pluviométrico del año 2025 hasta la fecha es de 968,0 mm, lo que implica un déficit del 11% respecto al promedio histórico acumulado de 1087,4 mm.
En cuanto a la temperatura media del aire, el valle del secano registró una anomalía negativa este mes, situándose en 8,6 °C. Esto representa un descenso respecto al mes anterior (9,5 °C) y se encuentra por debajo de la media histórica (8,8 °C), revirtiendo la recuperación observada el mes anterior tras la anomalía negativa del invierno recién pasado.
La temperatura promedio de las máximas absolutas alcanzó los 23,1 °C, superando los 21,4 °C del mes anterior. Por otro lado, la temperatura promedio de las mínimas absolutas disminuyó de -0,2 °C a -1,5 °C. Esta variación aumentó la amplitud térmica y resultó en un incremento de los episodios de heladas en el valle secano, pasando de 2 a 3,4 eventos promedio al mes. La comuna de Vilcún fue la que más contribuyó a este promedio de heladas, con un registro de 8 episodios durante el mes.
La situación de la pluviometría y temperatura media del aire, obtenida en pre cordillera de la región se muestra en un clima diagrama en un horizonte de tiempo que abarca desde enero 2023 al mes de septiembre de 2025.

Figura 4. Clima diagrama con datos meteorológicos obtenidos de Estación Meteorológica de San Luis.
El resumen sobre las condiciones climáticas recientes en la zona precordillerana de La Araucanía, ha sido elaborado con datos actualizados de La Red Agrometeorológica de INIA, https://agrometeorologia.cl/ hasta el presente mes.
En cuanto a las precipitaciones, la comuna de Pucón ha registrado un volumen máximo de lluvia de 349,8 mm este mes, contribuyendo significativamente a los promedios mensuales y acumulados, junto con Curarrehue (301,7 mm). El volumen promedio de lluvias en la precordillera este mes es de 254,1 mm, lo que supera en un 38,5% el promedio histórico de 183,4 mm. Sin embargo, las precipitaciones acumuladas en la región alcanzan los 1533,8 mm, situándose un 12% por debajo de la media histórica acumulada a la fecha (1656,7 mm).
Respecto a las temperaturas, hemos observado un repunte importante en septiembre, alcanzando los 9,1°C, lo que representa un aumento de 0,7°C en comparación con el mes anterior (8,4°C) y supera en 1,5°C la temperatura media histórica del aire para este mes (7,6°C). La temperatura promedio de las máximas absolutas subió de 21,7°C a 24,2°C, mientras que la temperatura promedio de las mínimas absolutas disminuyó de -0,8°C a -2,4°C. A pesar del aumento en la amplitud térmica de esta área agroecológica, no se observó un impacto significativo en la frecuencia de las heladas, manteniéndose el promedio de 4,2 a 4,3 episodios este mes. La comuna de Curacautín fue la que registró el mayor número de días con heladas en la precordillera, con 8 episodios/mes.
Balance hídrico general
Las pluviometrías (Pp) y evapotranspiración en condiciones de referencia (ETo) acumuladas en el mes de septiembre 2025 se muestran en el Cuadro 2. En general, el balance hídrico estuvo por sobre el consumo de agua de un pasto en referencia (balance hídrico positivo) en todas las zonas agroecológicas evaluadas. Además, los valores acumulados hasta septiembre 2025 (valores entre paréntesis) han estado con balances hídricos positivos con valores entre 7,0 y 71,0%. Los suelos de La Araucanía son bien diversos, por lo que se debiera estar revisando si no hay humedad volumétrica en exceso en el suelo para evitar anegamientos innecesarios, y empezar a revisar la humedad volumétrica del suelo enfocado al reservorio de este en el suelo para comenzar la temporada agrícola de riego en los diferentes sistemas productivos de la región.
Cuadro 2. Resumen de las pluviometrías y evapotranspiración en condiciones de referencia (ETo) acumuladas en el mes de septiembre 2025 para 4 zonas agroecológicas representativas de la Región de La Araucanía. (Datos entre paréntesis es el valor y porcentaje acumulado desde enero a septiembre del 2025).
|
Zona agroecológica |
Lluvia acumulada (mm) |
ETo Acumulada (mm) |
Balance hídrico general (%) |
|
Secano costero |
131,0 (1.009,9) |
50,3 (462,2) |
61,6 (54,2) |
|
Secano interior |
106,9 (609,5) |
54,7 (566,7) |
48,8 (7,0) |
|
Valle secano |
135,8 (836,4) |
54,9 (540,2) |
59,6 (35,4) |
|
Precordillera |
222,9 (1.406,3) |
53,3 (410,0) |
76,1 (70,8) |
Por su parte, en la Figura 5 se puede apreciar que desde el año 2016 el balance hídrico es positivo entre los meses de mayo-agosto a diferencia del año 2022, 2023, 2024 qy 2025 que la ventana hídrica ha estado positiva desde abril. Hay que considerar que los periodos de mayor demanda hídrica por parte de la atmósfera (aún entre los meses de octubre a febrero) están siendo cada vez más variables y recurrentes en cuanto a los aportes y pérdidas del balance hídrico en la región de La Araucanía. En comparación al año 2022, el mes de agosto y septiembre del año 2023 y 2024 han presentado un balance hídrico general más positivo. Así, con esta información se hace muy necesario incorporar una cultura hídrica de gestión del agua intrapredial y extrapredial para poder adelantarse y mitigar lo más posible las deficiencias y excesos de agua natural que se pueden presentar en el sector silvoagropecuario. Además, el mes de enero y febrero del 2023 y 2024 han sido los más negativos hasta la fecha en magnitud (es decir, más secos) con -139; 126, y -129; -126 mm para los últimos 11 años evaluados, respectivamente. Es decir, los extremos de cada temporada de riego han sufrido más variabilidad en los aportes (lluvia) y pérdidas hídricas (evapotranspiración, ET). Cabe mencionar que el mes de diciembre 2023 vuelve hacer negativo con -97,0 mm de desbalance entre la lluvia y la ETo. Sin embargo, para el mes de septiembre 2025, se observó un balance hídrico positivo (63 mm) como ha estado ocurrido en diferentes magnitudes desde el año 2015. Lo anterior, indica que los riegos ya debieran ser aplicados a partir de septiembre/octubre en delante de acuerdo a los registros históricos de los últimos 11 años hasta el mes de marzo e incluso abril dependiendo de la temporada agrícola.

Figura 5. Balance hídrico promedio general de los últimos 11 años observados entre enero y diciembre para la localidad de Carillanca, Vilcún, Región de La Araucanía.
Evapotranspiración de referencia (ETo)
En palabras sencillas, la evapotranspiración en condiciones de referencia nos indica el consumo de agua de un pasto siempre verde en activo crecimiento y bajo condiciones óptimas de manejo agronómico. Así, durante todo el año 2020 e inicios del 2023 y 2024, se ha observado que el acumulado ha sido el más seco comparado a los últimos 11 años evaluados. Sin embargo, el valor de ETo acumulado hasta el mes de septiembre 2025 ha sido el cuarto más alto registrado entre los año 2015 y 2025. Por otro lado, el valor de mayor a menor ETo acumulada en septiembre 2025 fue de 604,0 mm; 554,8 mm; 545,1 mm; 540,2 mm; 540,0 mm; 536,4 mm; 514,4 mm; 483,5 mm; 469,9 mm; 450,1 y 439,0 mm para los años 2020, 2023, 2024, 2025, 2021, 2019, 2022, 2015, 2018, 2016 y 2017, respectivamente (Figura 6). Finalmente, la tendencia del valor en el mes de septiembre 2025 está entre los años 2021 y 2024.

Figura 6. Evapotranspiración acumulada bajo una condición de referencia para los últimos 11 años desde enero hasta diciembre en la localidad de Carillanca, Vilcún, Región de La Araucanía.
Complementariamente, la ETo máxima (Figura 7) evidenciada en el mes de septiembre 2025 de mayor a menor fue de 3,90; 3,67; 3,28; 3,27; 3,27; 3,07; 2,90; 2,80; 2,60; 2,24 y 1,87 mm/día para los años 2019, 2025, 2021, 2016, 2022, 2023, 2020, 2018, 2017,2024 y 2015, respectivamente. Así, la cantidad de agua máxima que estuvo evapotranspirando el pasto en referencia en el mes de agosto 2025 ha estado variando entre 1,87 y 3,90 mm/día (18,7 y 39,0 m3/ha/día) para los 11 años evaluados. Finalmente, el mes de septiembre del 2025 fue seco ya que el valor de ETo máxima estuvo muy por encima de lo registrado desde el año 2015, estando en el segundo lugar de los 11 años evaluados.

Figura 7. Evapotranspiración máxima en una condición de referencia por mes para los últimos 11 años desde enero hasta diciembre para la localidad de Carillanca, Vilcún, Región de La Araucanía.
Cabe mencionar que, aún existe suficiente humedad de suelo en algunos sectores de La Araucanía, por lo que se sugiere la realización de algún seguimiento de ésta, para así, adelantarse a la toma de decisiones que se puedan necesitar en el predio y saber con cuanta humedad volumétrica están los suelos para comenzar la temporada agrícola. Además, acumulativamente desde enero a septiembre 2025 ha estado más seco en el Secano interior, por lo que se debe estar pendiente de las humedades óptimas para las distintas labores culturales en los sistemas agrícolas y ganaderos.
Los niveles de caudales observado a inicios del mes de octubre reflejan la condición fluvial de los principales ríos de la región dado que las lluvias se intensificaron hacia las últimas dos semanas de septiembre, mostrando un aumento de caudal respecto del promedio de 10 años.
En cuanto al río Cautín, el caudal (Q) observado en la estación de Cajón al 6 de octubre de 2025 fue de 154,71 m³/s. Esto representa un Q muy parecido al valor medido a principios de septiembre (157,41 m³/s) y se sitúa por sobre el promedio de los últimos 10 años para este mes, que es de 135,77 m³/s.
En la misma fecha, el caudal (Q) en el río Cautín, pero en la localidad de Rariruca, fue de 101,85 m³/s. Históricamente, este valor es inferior al registrado en Cajón (154,71m³/s) y este mes supera levemente lo observado el mes anterior (97,01 m³/s) y el promedio de los últimos 10 años para la estación de Rariruca (94,70 m³/s).

Figura 8. Caudal (Q), medio mensual en el río Cautín de la región de La Araucanía.
El caudal (Q) mensual del río CholChol, medido en la localidad homónima, presentó un valor de 126,08 m³/s al inicio de octubre de 2025. Este caudal ha aumentado en este río desde el mes anterior (107,28 m³/s) y este mes se observa un leve aumento al registro promedio de los últimos 10 años, que es de 114,64 m³/s.

Figura 9. Caudal (Q), medio mensual en el río Cholchol de la región de La Araucanía.
Destacar que el caudal (Q) del río Toltén es el mayor observado históricamente en la región. La medición efectuada en la localidad de Teodoro Schmidt a principios de octubre de 2025 muestra un caudal de 646,69 m³/s. Este valor representa una disminución en comparación con el caudal medido a principios del mes anterior, que fue de 673,20 m³/s, sin embargo se sitúa sobre el Q promedio de los últimos 10 años (504,24 m³/s).
Precordillera > Cultivos > Papas
En este sector se están iniciando las actividades en el rubro, para iniciar las plantaciones a fines de octubre. Es muy posible que también se retrase la plantación por los mismos motivos señalados para las otras zonas productoras.
El comercio de la papa de guarda de la temporada anterior está muy lento, con poca presencia de compradores. Los productores empresariales que aun están cosechando están enviando producción a las ferias mayoristas de la zona central con precios de venta entre $2.000.- y $ 2.500.-
Estos bajos precios están también presionando a la baja, a la papa nueva del sector costero. A fines de septiembre, por las primeras papas se pagó a productor $ 10.000.- por saco de 25 kg; y, la segunda semana de octubre el precio ya había bajado a $ 7.000.-
Puesto que las condiciones de presión del tizón tardío de la papa van a ser alta, se recomienda especial cuidado en la prevención de la enfermedad y en efectuar el control en los momentos adecuados.
De la misma forma que lo indicado durante el mes de septiembre, se recomienda a los agricultores consultar con sus equipos técnicos el momento y con que producto debe controlar y reingresar nuevamente al cultivo, con posterioridad a las primeras aplicaciones. Los productos fungicidas tienen diferentes formas de acción, por lo cual su uso depende de las características de este; generalmente se establece que existen tres tipos de acciones de los productos: de contacto, translaminares y sistémicos.
Precordillera > Cultivos > Trigo y Tritricale
En la zona de precordillera, como ser Curacautín, Melipeuco, Lonquimay Cunco, Villarrica, Pucón, y Curarrehue, se observaron precipitaciones más altas que el resto de la región, promediando los 250mm y se destacan las de Pucón con 350mm., y Curarrehue con 300,0mm, siendo la primera, la comuna más húmeda de la región. Solo Lonquimay presenta una condición menor (107mm), cifra claramente superior a la observada para la temporada anterior. A pesar de lo anterior, las actividades se han podido realizar, pero con cierta dificultad y atraso y se espera mejorías en las condiciones climáticas futuras. Hay que destacar el hecho que las siembras en esta zona se atrasaron por lo tanto las aplicaciones de control de maleza y parcialización del nitrógeno aun estan a tiempo.
Consideraciones Importantes
Es aconsejable tener los fertilizantes nitrogenados a mano ya que es muy posible que deban aplicarlos con cierta premura, aprovechando los próximos días de buen tiempo.
Considerar una posible aplicación de herbicidas para una infestación rápida de malezas.
Tener la maquinaria disponible y efectuar los contratos de servicios con suficiente anticipación.
Posibles aplicaciones de fungicidas, especialmente en variedades susceptibles como ser los triticales y algunas variedades de primavera.
Precordillera > Ganadería
Si prevalece la ausencia de forraje debe mantenerse la condición corporal de los animales mediante forraje conservado y granos en proporción adecuada (este ultimo no mayor a 30% del total de materia seca ofrecida como forraje). En general, la pradera podría estar aun en letargo invernal a la espera del rebrote, por lo que en caso de no disponer forrajes se sugiere la compra de bolos, heno o paja como suplemento y en el peor de los casos considerar la venta de animales para evitar bajas extremas de peso y muertes por inanición. Por las bajas temperaturas se deben refugiar animales en un cobertizo durante la noche. Los partos de primavera aun están ocurriendo, por lo que deben ser registrados los datos de los partos a fin de mantener un control planificado de la producción. Entre 20 a 30 días post parto, deben revisarse las vacas de crianza a fin de observar normalidad en la recuperación. Debe realizarse la selección de vacas, aquellas que serán vendidas o reemplazadas del rebaño criancero y reemplazarse por vaquillas de crianza. Como la época de encaste se aproxima, los toros deben ser revisados para asegurarse su sanidad y calidad reproductiva. Aquellos predios que usan inseminación artificial deben revisar los catálogos de toro y elegir a lo menos aquellos que representen baja consanguineidad con el rebaño. El cálculo de cuantas dosis es requerido es de acuerdo con el número de vacas a encastar corregidas por el índice de cubiertas. Debe monitorearse la aparición de la mosca de los cuernos y realizar aplicaciones con productos antiparasitarios, sin olvidar de ir rotando los ingredientes activos. En caso de Ovinos debe asegurarse suficiente alimento para la crianza y la lactancia de las madres. Al igual que los bovinos de carne, pueden realizarse desparasitaciones. Se deben tomar medidas para evitar el ataque de perros asilvestrados.
Precordillera > Praderas
Durante los últimos meses, hemos observado temperaturas medias superiores al promedio, junto con un aumento de las precipitaciones en septiembre, lo que ha favorecido el crecimiento de nuestras praderas.
Sin embargo, los pronósticos indican una primavera con precipitaciones por debajo de lo normal y una mayor oscilación térmica. Ante este escenario, es crucial que pongamos especial énfasis en el monitoreo del pastoreo. Para evitar el sobrepastoreo de las praderas permanentes y así prevenir la destrucción del rebrote, la muerte de plantas y la disminución de la cobertura vegetal, recomendamos dejar un residuo post-pastoreo de entre 8 a 10 cm. Esta medida no solo favorece el rebrote, sino que también protege el suelo de una evaporación excesiva. Es importante que las praderas destinadas a ser conservadas durante noviembre ya estén en rezago.
Adicionalmente, las siembras de primavera para pastoreo suplementario de verano deben planificarse y realizarse en función de la estimación final de las necesidades de alimentación estival. También es fundamental calcular la superficie de praderas que deberán rezagarse para la producción de ensilajes o henos de la siguiente temporada.
Agradecemos tu atención a estas recomendaciones para asegurar la sostenibilidad y productividad de nuestras praderas.
Secano Costero > Cultivos > Papas
Las condiciones de clima en la zona han permitido que las actividades del rubro se mantengan dentro de lo esperado.
Por una parte, se ha incrementado levemente la cosecha de papa nueva, observándose este tipo de producción en los mercados locales. Puesto que el precio de venta está bajo ($ 7.000.- por saco de 25 kg), el ritmo de cosecha es lento, ya que los agricultores prefieren esperar, postergando la cosecha dándole al cultivo más tiempo para crecer
Por otra parte, se continúa plantando la papa de mediana estación, hasta fines de octubre, cuando se inicia la plantación de papa de tarde en el sector de lomajes altos y de noviembre a diciembre en el sector de vegas.
De igual forma, se debe señalar que se han mantenido las condiciones climáticas con mayores temperaturas y humedad ambiental, que favorece la presencia de tizón tardío en los cultivos. La presión de la enfermedad durante la temporada ha sido alta, registrándose a lo menos 5 aplicaciones de fungicidas en las papas.
El sistema de pronosticador de tizón tardío ha indicado en la mayoría de las estaciones meteorológicas intermitencia alarmas roja, amarilla y naranja, prevaleciendo la alerta roja en la última semana.
Secano Costero > Cultivos > Trigo y Tritricale
En el Secano costero (Carahue, Pto Saavedra, Toltén y Teodoro Schmidt), las condiciones fueron húmedas y frías, destacable los más de 120mm caídos en la comuna de Teodoro Schmidt, Saavedra, Toltén y Tranapuente. Considerando las características de los suelos se ha hecho posible realizar las actividades agrícolas sobre todo lo relacionado a las siembras de primavera. Solo las comunas de Toltén y Saavedra presentan superávit respecto al año pasado e histórico.
Consideraciones Importantes
Es aconsejable tener los fertilizantes nitrogenados a mano ya que es muy posible que deban aplicarlos con cierta premura, aprovechando los próximos días de buen tiempo.
Considerar una posible aplicación de herbicidas para una infestación rápida de malezas.
Tener la maquinaria disponible y efectuar los contratos de servicios con suficiente anticipación.
Posibles aplicaciones de fungicidas, especialmente en variedades susceptibles como ser los triticales y algunas variedades de primavera.
Secano Costero > Ganadería
Tanto para Bovinos y Ovinos los partos de primavera han finalizado. Las nuevas crías y sus madres deben transferirse fuera de los potreros de sacrificio hacia praderas “limpias” y de buena calidad nutricional para fortalecer la lactancia de las madres. Los datos del parto deben registrarse (nombre de la cría, nombre de la madre, peso de nacimiento, etc.). Cerca de 20 a 30 días post parto deben revisarse las vacas de crianza a fin de observar normalidad en la recuperación en el periodo de post parto. Es el momento de selección de las vacas que serán eliminadas del rebaño criancero y reemplazadas por las vaquillas de crianza o de reemplazo. Así mismo, debe prepararse el rebaño criancero para la próxima época de encaste. Aquellos que usan toros para monta natural deben revisarlos y asegurarse que el estado nutricional y sanitario corresponde a un animal sano. Por el contrario, aquellos que usan inseminación artificial en sus vacas, deben revisar los catálogos de toro disponibles, calcular las dosis de semen necesarias de acuerdo con el número de vacas a encastar corregidas por el índice de cubiertas y evitar utilizar toros emparentados con respecto al rebaño. Debe comenzar a monitorearse la aparición de la mosca de los cuernos. Así mismo es posible realizar aplicaciones de antiparasitarios en el predio. Terneros ya pueden castrarse después de 2 a 3 semanas post-parto. En el caso de los ovinos, debe asegurarse suficiente alimento para los corderos y sus madres. Pueden también realizarse desparasitaciones además de comenzar a planificar la fecha de esquila. Se deben tomar medidas para evitar el ataque de perros asilvestrados.
Secano Costero > Praderas
Esta primavera ha iniciado con precipitaciones buenas, con temperaturas máximas y mínimas por debajo del promedio histórico. Esto ha provocado un retraso en el rebrote de las praderas. Por otro lado, las vegas presentan suelos saturados, lo que también está afectando el crecimiento y la utilización de las praderas en esas zonas.
Considerando que durante octubre el aporte de forraje conservado en la dieta de los rumiantes disminuye drásticamente, es crucial realizar un monitoreo constante de los potreros pastoreados. Debemos evitar el sobrepastoreo, ya que esto no solo retrasará el buen crecimiento de la pradera, sino que también aumentará el tiempo entre pastoreos, el enmalezamiento y la degradación del pastizal. Te recomiendo dejar un residuo post-pastoreo de al menos 10 cm, lo cual facilitará la recuperación de la pradera y protegerá el suelo.
Para aquellos potreros que aún no han sido fertilizados, sugiero aprovechar que las temperaturas no han subido demasiado para aplicar nitrógeno, azufre y fósforo.
Finalmente, es importante tener en cuenta las siguientes fechas para las siembras y la conservación de forraje:
* Las siembras de cultivos suplementarios para heno y de verano deben realizarse durante el mes de octubre.
* Las siembras de primavera para pastoreo suplementario de verano deben llevarse a cabo entre octubre y noviembre, ajustándose a la estimación final de las necesidades de alimentación estival.
* La conservación de forraje para silo comienza en octubre, con su mayor producción esperada en noviembre.
* El rezago para la producción de heno debe iniciarse a más tardar en la primera quincena de octubre.
Secano Interior > Cultivos > Papas
Las condiciones climáticas, con lluvias intermitentes y las condiciones comerciales, con bajos precios, han retrasado las plantaciones de papas en la zona, observándose una disminución notoria de las intenciones de plantación.
El comercio de la papa de guarda de la temporada anterior está muy lento, con poca presencia de compradores. Los productores empresariales que aun están cosechando están enviando producción a las ferias mayoristas de la zona central con precios de venta entre $2.000.- y $ 2.500.-
Puesto que las condiciones de presión del tizón tardío de la papa van a ser alta, se recomienda especial cuidado en la prevención de la enfermedad y en efectuar el control en los momentos adecuados.
Secano Interior > Cultivos > Trigo y Tritricale
Para la zona del secano interior (Angol, Galvarino, Chol Chol, Imperial, Traiguén, Renaico, Purén, Los Sauces, Lumaco) la pluviometría osciló entre los 70,1mm hasta los 110mm con un número menor de días con heladas. Las actividades agrícolas que corresponden a aplicaciones de fungicidas y parcializaciones del nitrógeno se pudieron hacer y solo corresponde evaluar el comportamiento fitosanitario y preparar la última parcialización del nitrógeno.
Consideraciones Importantes
Tener la maquinaria disponible y efectuar los contratos de servicios con suficiente anticipación.
Posibles aplicaciones de fungicidas, especialmente en variedades susceptibles como ser los triticales y algunas variedades de primavera.
Secano Interior > Ganadería
Similar situación del secano costero, los partos de primavera están finalizados y por tanto deben registrarse sus datos a fin de mantener un control planificado de la producción. Cerca de 20 a 30 días post parto, debe revisarse las vacas de crianza a fin de observar normalidad en la recuperación. Debe realizarse la selección de vacas, aquellas que serán vendidas o reemplazadas del rebaño criancero. Así mismo debe seleccionarse las vaquillas de crianza que reemplazaran a las madres descartadas. Debe prepararse el rebaño criancero para la próxima época de encaste. Los toros que serán usados para monta natural deben revisarse y asegurarse su sanidad reproductiva. Aquellos que usan inseminación artificial deben revisar los catálogos de toros, elegir a lo menos aquellos que representen baja consanguinidad y calcular las dosis de semen necesarias de acuerdo al numero de vacas a encastar corregidas por el índice de cubiertas. Debe monitorearse la aparición de la mosca de los cuernos y puede realizarse aplicaciones contra los parásitos. En caso de ovinos debe asegurarse suficiente alimento para la crianza y las madres. Debe programarse la fecha de la esquila y limpiar los galpones. Al igual que los bovinos de carne, pueden realizarse desparasitaciones. Se deben tomar medidas para evitar el ataque de perros asilvestrados.
Secano Interior > Praderas
El inicio de la primavera estuvo marcado por una temperatura media promedio más alta que el histórico y con precipitaciones en septiembre que favorecen el crecimiento de las praderas. Se espera un aumento en la tasa de crecimiento durante octubre. Debe monitorearse el pastoreo de praderas a fin de evitar el sobrepastoreo y el retraso del rebrote de la pradera. Dejar un residuo post pastoreo alto, de 8 a 10 cm, ya que esto protege el suelo, evitando la evaporación del agua, el aumento de la temperatura y favorece el crecimiento de la pradera.
Los cultivos suplementarios y praderas que van a conservación de forraje ya deben estar rezagadas.
Valle Secano > Cultivos > Papas
En esta zona los agricultores comerciales aún están cosechando y comercializando papa de la temporada anterior, por lo cual se ha retrasado el establecimiento de papas de esta temporada. Las papas que se comercializan van lavadas para el mercado mayorista de Santiago. El precio de comercialización es de $ 2.000. Por saco de 25 kg.
Puesto que las condiciones de presión del tizón tardío de la papa van a ser alta, se recomienda especial cuidado en la prevención de la enfermedad y en efectuar el control en los momentos adecuados en los cultivares que se están sembrando.
Los productos fungicidas tienen diferentes formas de acción, por lo cual su uso depende de las características de este; generalmente se establece que existen tres tipos de acciones de los productos: de contacto, translaminares y sistémicos.
Valle Secano > Cultivos > Trigo y Tritricale
Esta área, que incluye comunas como Vilcún, Lautaro, Perquenco, Freire, Gorbea, Padre las Casas, Pitrufquén, Collipulli, Victoria, Loncoche, Temuco y Ercilla, experimentó un mes más húmedo de lo habitual, superando los 180 mm de precipitaciones en localidades como Victoria, Freire y Loncoche. También se registraron heladas, con temperaturas entre -0,4°C y -2,9°C.
Afortunadamente, el número de horas e intensidad de estas heladas fue moderada y no se observaron daños significativos en el tejido foliar. La ligera clorosis y necrosis presentes están más relacionadas con el desarrollo de manchas foliares (Septoria), debido a las lluvias constantes y la humedad excesiva del suelo, que dificulta la absorción adecuada de nitrógeno por parte de las plantas.
Las actividades agrícolas han sufrido un ligero retraso, particularmente en lo que respecta a la parcialización del nitrógeno. No obstante, para el resto de las comunas, las condiciones de humedad en los suelos durante el mes generan buenas expectativas productivas, asegurando suficiente agua para las próximas semanas.
Valle Secano > Ganadería
Similar al secano interior y al mes anterior, los partos de primavera están finalizados. Idealmente se debe registrar los datos de los partos a fin de mantener un control planificado de la producción. Entre 20 a 30 días post parto debe revisarse las vacas de crianza a fin de observar normalidad en la recuperación puerperal. Debe realizarse la selección de vacas, aquellas que serán vendidas o reemplazadas del rebaño criancero y reemplazarse por vaquillas de crianza. Se aproxima la época de encaste, por tanto, los toros deben ser revisados para asegurarse su sanidad y calidad reproductiva. Aquellos predios que usan inseminación artificial deben revisar los catálogos de toro y elegir a lo menos aquellos que representen baja consanguinidad con el rebaño. El cálculo de cuantas dosis es requerido, es de acuerdo al numero de vacas a encastar corregidas por el índice de cubiertas. Debe monitorearse la aparición de la mosca de los cuernos y realizar aplicaciones antiparásitos. En caso de Ovinos debe asegurarse suficiente alimento para la crianza y las madres. Ya es posible fijar la fecha de la esquila y para es fin, deben limpiarse los galpones en donde se guardará la lana. Al igual que los bovinos de carne, pueden realizarse desparasitaciones. Se deben tomar medidas para evitar el ataque de perros asilvestrados.
Valle Secano > Praderas
El monitoreo de las praderas en esta zona agroclimática indica un comportamiento particular esta temporada. Hemos observado un aumento en las precipitaciones en comparación con años anteriores, aunque las temperaturas medias de octubre han sido más bajas que las del mes previo. Este patrón ha influido en el crecimiento de las praderas, que iniciaron un desarrollo activo a principios de octubre, mostrando un ligero retraso.
Este retraso en el crecimiento ofrece una ventana oportuna para realizar la fertilización de mantención con nitrógeno y potasio.
Es crucial mantener un monitoreo constante del pastoreo para evitar el sobrepastoreo, el cual puede afectar negativamente el rebrote. Dejar un residuo de 8 a 10 cm es fundamental para asegurar un crecimiento rápido y acortar el periodo de recuperación de la pradera.
En el Valle Secano Sur, este mes de octubre es ideal para la siembra de primavera, incluyendo cultivos suplementarios de verano y pasturas de rotación destinadas a la conservación. Si se dispone de riego, este periodo de siembra puede extenderse.
Para definir la superficie a destinar para conservación, es importante considerar las necesidades de forraje. Aquellas praderas que acumulen más de 2.500 kg/ha de materia seca deben ser reservadas para este fin. La conservación de forraje, dependiendo de la localidad, se iniciará a finales de octubre.
Este producto proporciona estimaciones de la humedad del suelo en todo el mundo a partir de un gran conjunto de sensores satelitales. Se basa en la versión 3.0 de humedad del suelo de la Iniciativa de Cambio Climático de la ESA, El producto ACTIVO es el resultado de la fusión de datos de humedad del suelo basados en scatterómetros, que se derivan de AMI-WS y ASCAT (Metop-A y Metop-B), y su representación es el contenido de agua líquida en una capa superficial del suelo de 2 a 5 cm de profundidad expresado como porcentaje de saturación total.

Respecto de la respuesta fisiológica de las plantas al efecto del clima, las imágenes satelitales reflejan la magnitud del crecimiento o disminución de la cobertura vegetal en esta época del año mediante el índice de vegetación NDVI (Desviación Normalizada del Índice de Vegetación).
Para esta quincena se observa un NDVI promedio regional de 0.76 mientras el año pasado había sido de 0.68. El valor promedio histórico para esta región, en este período del año es de 0.7.
El resumen regional en el contexto temporal se puede observar en el siguiente gráfico.
/R09_NDVI_barras_regional.png)
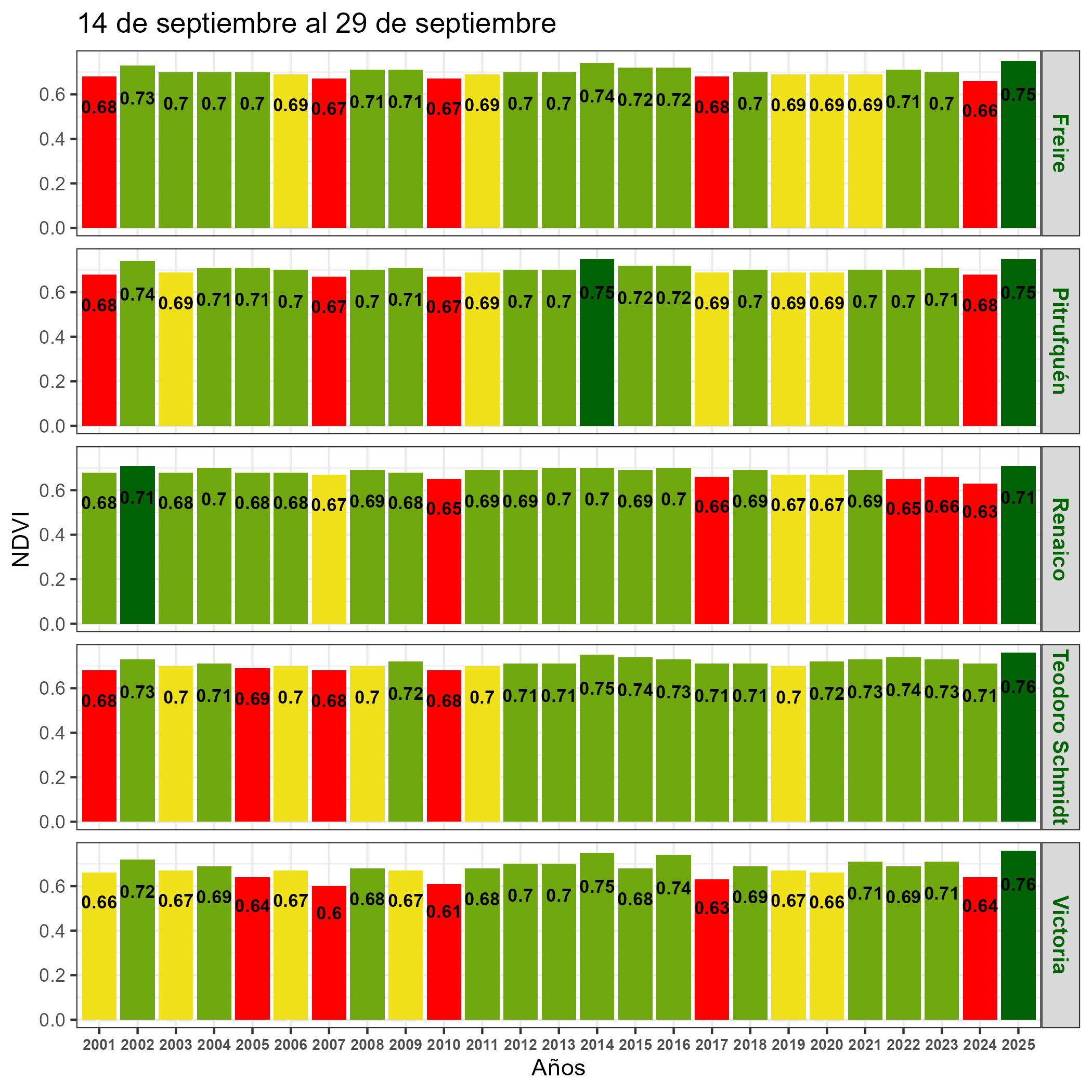
La situación por comunas se presenta en el siguiente gráfico, donde se presentan las comunas con índices más bajos.
/R09_NDVI_barras_comunas.png)
/R09_NDVI.png)
/R09_ANOMALIA_NDVI.png)
/R09_DIFERENCIA_NDVI.png)
Para el monitoreo del estado de la vegetación en la Región se utilizó el índice de condición de la vegetación, VCI (Kogan, 1990, 1995). Este índice se encuentra entre valores de 0% a 100%. Valores bajo 40% se asocian a una condición desfavorable en la vegetación, siendo 0% la peor condición histórica y 100% la mejor (tabla 1).
En términos globales la Región presentó un valor mediano de VCI de 92% para el período comprendido desde el 14 al 29 de septiembre. A igual período del año pasado presentaba un VCI de 52% (Fig. 1). De acuerdo a la Tabla 1 la Región de La Araucanía, en términos globales presenta una condición Favorable.
Tabla 1. Clasificación de la condición de la vegetación de acuerdo a los valores del índice VCI.

Tabla 2. Resumen de la condición de la vegetación comunal en la Región de acuerdo al análisis del índice VCI.
 (En Evaluación)/R09_RESUMEN_VCI.png)
 (En Evaluación)/R09_VCI_barras_regional.png)
Figura 1. Valores del índice VCI para el mismo período entre los años 2000 al 2022 para la Región de La Araucanía
 (En Evaluación)/R09_VCI_barras_regional_Matorrales.png)
Figura 2. Valores promedio de VCI en Matorrales en la Región de La Araucanía
 (En Evaluación)/R09_VCI_barras_regional_Praderas.png)
Figura 3. Valores promedio de VCI en praderas en la Región de La Araucanía
 (En Evaluación)/R09_VCI_barras_regional_Agrícolas.png)
Figura 4. Valores promedio de VCI en terrenos de uso agrícola en la Región de La Araucanía
 (En Evaluación)/R09_VCI.png)
Figura 5. Valores comunales promedio de VCI en la Región de La Araucanía de acuerdo a la clasificación de la Tabla 1.
Las comunas que presentan los valores más bajos del índice VCI en la Región corresponden a Renaico, Freire, Pitrufquén, Victoria y Teodoro Schmidt con 73, 84, 85, 85 y 87% de VCI respectivamente.
 (En Evaluación)/R09_VCI_barras_comunas.png)
Figura 6. Valores del índice VCI para las 5 comunas con valores más bajos del índice del 14 al 29 de septiembre.