Boletín Agrometeorológico - Vista previa - Los Rios - Publicación de Septiembre 2025
Portada

Boletín Nacional de Análisis de Riesgos Agroclimáticos para las Principales Especies Frutales y Cultivos y la Ganadería

SEPTIEMBRE 2025 — REGIÓN LOS RIOS

 

Autores INIA

Rodrigo Bravo Herrera, Dr. en Ciencias Agrarias, Remehue
Claudio Salas Figueroa, Ing. Agrónomo, Dr., Intihuasi
Vianka Rojas Hinojosa, Téc. Electrónico, Intihuasi
Cristian Moscoso Jara, Ingeniero Agrónomo, Ms. Sc., Remehue
Ivette Acuña Bravo, Ingeniera Agrónomo, Ph.D. Remehue, Investigadora, Remehue
Mariela Casas Villagra, Ing. Agrónomo. Remehue, Investigador, Remehue

Marcel Fuentes Bustamante, Ingeniero Civil Agrícola MSc., Quilamapu
Jaime Salvo Del Pedregal, Ing. Agrónomo Ph.D, La Cruz
Raúl Orrego, Ingeniero en Recursos Naturales, Dr, Quilamapu
René Sepúlveda, Ingeniero Civil Agrícola (C), Quilamapu

Coordinador INIA: Jaime Salvo Del Pedregal, Ing. Agrónomo Ph.D, La Cruz

Introducción

La XIV Región de Los Ríos presenta dos climas diferentes: 1 Clima mediterráneo de verano cálido (Csb) en Quechupulli, San José de la Mariquina, Antilhue, Cuyan y Chincun, y el predomina es el clima oceánico (Cfb) en Puerto Santa Regina, Carriringue, Liquiñe, Puerto Fuy y Neltume. Este boletín agroclimático regional, basado en la información aportada por www.agromet.cl y https://agrometeorologia.cl/ , así como información auxiliar de diversas fuentes, entrega un análisis del comportamiento de las principales variables climáticas que inciden en la producción agropecuaria y efectúa un diagnóstico sobre sus efectos, particularmente cuando estos parámetros exhiban comportamientos anómalos que pueden afectar la cantidad o la calidad de la producción.

http://riesgoclimatico.inia.cl

Resumen Ejecutivo

En la Región de Los Ríos, las precipitaciones en el mes de agosto marcaron un déficit importante de acuerdo al registro de las estaciones  meteorológicas de la Red de INIA.  Agosto es un mes importante en el ciclo anual de precipitaciones ya que marca el conjunto de meses donde se acumula el 80 % aproximadamente de la precipitación anual. En el mes de agosto el déficit llegó a un promedio de 57 % en las estaciones meteorológicas en la Provincia de Valdivia y un 52.6 % en la Provincia del Ranco. Respecto a lo acumulado de enero al 31 de agosto, el déficit es de 23.7% en la Provincia de Valdivia y un 28.4 % en la Provincia del Ranco.

En el caso de las praderas afines de invierno, la pradera regularmente tiene un bajo crecimiento como consecuencia de bajas temperaturas, lo que se traduce en una disponibilidad de ingreso a la pradera de 1.800 a 2.000 kg MS/ha, que se logran entre 40 a 60 días. Esta situación comienza a acelerarse a medida que se van incrementando las temperaturas. Generalmente el aporte de la producción en la época invernal es marginal en el año. Sin embargo, una buena fertilidad y la fertilización estratégica de fines de invierno permitirán mejores tasas de crecimiento, pudiendo así́ disponer cada vez más de una mayor cantidad de pradera en la ración alimenticia de las vacas.

En el cultivo de papa hay que tener presente que es un momento en que emergen plantas voluntarias o “huachas” de papa, una importante fuente de plagas y enfermedades, por lo que deben eliminarse manual o químicamente, al igual que todos los restos de papa, que conviene enterrar o cubrir con plástico negro. Se debe tener en consideración que esta temporada habrá muchas papas voluntarias en los sectores productores, ya que quedaron muchas plantaciones sin cosechar la temporada anterior. 

El NDVI obtenido de las imágenes satelitales indica un valor levemente sobre el promedio para la cubierta vegetal de la región, no obstante los más bajos son las comunas de Valdivia y Mariquina. 

 

Componente Meteorológico

Estación El Cardal

La estación El Cardal corresponde al distrito agroclimático 14-10-2. Para este distrito climático la temperatura mínima, media y máxima climatológicas alcanzan los 3.8°C, 8°C y 12.3°C respectivamente. Por su parte, respecto a las temperaturas medidas durante el mes de agosto en la estación: la temperatura mínima alcanzo los 4.9°C (1.1°C sobre la climatológica), la temperatura media 9°C (1°C sobre la climatológica) y la temperatura máxima llegó a los 13.1°C (0.8°C sobre la climatológica). En el mes de agosto se registró una pluviometría de 75.2 mm, lo cual representa un 43.5% con respecto al mismo mes de un año normal. De enero a agosto se ha registrado un total acumulado de 782.9 mm, en circunstancias que un año normal registraría a la fecha 1005 mm, lo que representa un déficit de 22.1%. A la misma fecha, durante el año 2024 la precipitación alcanzaba los 124.9 mm.

 

 

 

 

Estación Lago Verde

La estación Lago Verde corresponde al distrito agroclimático 9-14-2. Para este distrito climático la temperatura mínima, media y máxima climatológicas alcanzan los 3.5°C, 7.4°C y 11.4°C respectivamente. Por su parte, respecto a las temperaturas medidas durante el mes de agosto en la estación: la temperatura mínima alcanzo los 6.1°C (2.6°C sobre la climatológica), la temperatura media 9°C (1.6°C sobre la climatológica) y la temperatura máxima llegó a los 11.8°C (0.4°C sobre la climatológica). En el mes de agosto se registró una pluviometría de 98.8 mm, lo cual representa un 42.2% con respecto al mismo mes de un año normal. De enero a agosto se ha registrado un total acumulado de 1050.1 mm, en circunstancias que un año normal registraría a la fecha 1343 mm, lo que representa un déficit de 21.8%. A la misma fecha, durante el año 2024 la precipitación alcanzaba los 155.1 mm.

 

 

 

 

Estación Las Lomas

La estación Las Lomas corresponde al distrito agroclimático 9-14-1. Para este distrito climático la temperatura mínima, media y máxima climatológicas alcanzan los 4°C, 8.2°C y 12.5°C respectivamente. Por su parte, respecto a las temperaturas medidas durante el mes de agosto en la estación: la temperatura mínima alcanzo los 5.1°C (1.1°C sobre la climatológica), la temperatura media 9.4°C (1.2°C sobre la climatológica) y la temperatura máxima llegó a los 13.9°C (1.4°C sobre la climatológica). En el mes de agosto se registró una pluviometría de 122.8 mm, lo cual representa un 56.1% con respecto al mismo mes de un año normal. De enero a agosto se ha registrado un total acumulado de 1083.5 mm, en circunstancias que un año normal registraría a la fecha 1219 mm, lo que representa un déficit de 11.1%. A la misma fecha, durante el año 2024 la precipitación alcanzaba los 91.6 mm.

 

 

 

 

Estación Palermo

La estación Palermo corresponde al distrito agroclimático 14-10-1. Para este distrito climático la temperatura mínima, media y máxima climatológicas alcanzan los 3.7°C, 7.9°C y 12°C respectivamente. Por su parte, respecto a las temperaturas medidas durante el mes de agosto en la estación: la temperatura mínima alcanzo los 5.6°C (1.9°C sobre la climatológica), la temperatura media 9.9°C (2°C sobre la climatológica) y la temperatura máxima llegó a los 14.4°C (2.4°C sobre la climatológica). En el mes de agosto se registró una pluviometría de 62.4 mm, lo cual representa un 30.7% con respecto al mismo mes de un año normal. De enero a agosto se ha registrado un total acumulado de 701.4 mm, en circunstancias que un año normal registraría a la fecha 1135 mm, lo que representa un déficit de 38.2%. A la misma fecha, durante el año 2024 la precipitación alcanzaba los 119.1 mm.

 

 

 

 

Estación Rucatayo

La estación Rucatayo corresponde al distrito agroclimático 9-14-2. Para este distrito climático la temperatura mínima, media y máxima climatológicas alcanzan los 3.3°C, 7.1°C y 10.9°C respectivamente. Por su parte, respecto a las temperaturas medidas durante el mes de agosto en la estación: la temperatura mínima alcanzo los 5.1°C (1.8°C sobre la climatológica), la temperatura media 8.2°C (1.1°C sobre la climatológica) y la temperatura máxima llegó a los 11.2°C (0.3°C sobre la climatológica). En el mes de agosto se registró una pluviometría de 120.4 mm, lo cual representa un 44.8% con respecto al mismo mes de un año normal. De enero a agosto se ha registrado un total acumulado de 990.8 mm, en circunstancias que un año normal registraría a la fecha 1602 mm, lo que representa un déficit de 38.2%. A la misma fecha, durante el año 2024 la precipitación alcanzaba los 144.9 mm.

 

 

 

 

Estación Santa Carla

La estación Santa Carla corresponde al distrito agroclimático 9-14-2. Para este distrito climático la temperatura mínima, media y máxima climatológicas alcanzan los 3.3°C, 7.6°C y 11.8°C respectivamente. Por su parte, respecto a las temperaturas medidas durante el mes de agosto en la estación: la temperatura mínima alcanzo los 5.3°C (2°C sobre la climatológica), la temperatura media 8.8°C (1.2°C sobre la climatológica) y la temperatura máxima llegó a los 12.2°C (0.4°C sobre la climatológica). En el mes de agosto se registró una pluviometría de 138.3 mm, lo cual representa un 54% con respecto al mismo mes de un año normal. De enero a agosto se ha registrado un total acumulado de 1081.4 mm, en circunstancias que un año normal registraría a la fecha 1438 mm, lo que representa un déficit de 24.8%. A la misma fecha, durante el año 2024 la precipitación alcanzaba los 161.2 mm.

 

 

 

 

Componente Hidrológico
Análisis de Posibles Riesgos Agroclimáticos en los Principales Rubros Agrícolas

Precordillera > Ganadería

Vacas en ordeña

Según sea la oferta de pradera en este período y con los cultivos forrajeros de invierno prácticamente ya cosechados (coles, rutabagas), y sólo el segundo o tercer corte de alguna ballica anual+ avena, el voluminoso principal a suplementar son los ensilajes provenientes de una pradera de rotación y/o permanente. Los sistemas más intensificados cuentan con otros ensilajes como el de maíz, que permite mejorar la concentración energética de la ración de forrajes conservados. Esto es importante para las vacas recién paridas que requieren de elevados consumos de alimentos con alto valor nutritivo (MS mayor a 25-30% y EM de 2,6-2,7 Mcal/kg MS). La suplementación de concentrados permite también aumentar el consumo de materia seca y realizar un balance nutricional de la ración según sea la calidad de los componentes voluminosos (ensilajes, pradera, heno). En general, hay que señalar que en este período la pradera puede ser aun un alimento marginal, dependiendo de la biomasa disponible y de la oferta por animal/día, pero existe seguridad de que contiene alta proteína y muy degradable. Emplear concentrados o ingredientes que tengan valores de proteína de entre 8 y 14% PC, pero con una buena proporción de ella bypass (pasa intacta al intestino) y altos en EM (3,0 a 3,3 Mcal/kg MS). También, dada la alta degradabilidad de la proteína de los ensilajes, puede ser necesario suplementar con subproductos proteicos de origen vegetal (afrechos de o raps, de soya) u otros sólo en cantidades estratégicas. Las vacas recién paridas de alto mérito genético (mayor a 6.000-7.000 L vaca masa), y con condición corporal 2,0 – 2,5 (escala 1 a 5) se encuentran en su curva ascendente de leche y requieren el máximo de atención para optimizar su eficiencia productiva. Asumiendo que están recibiendo forrajes conservados de excelente calidad podrían recibir concentrados en cantidad de 0,150 a 0,200 Kg por litro de leche producida. Las vacas que parieron en otoño y que aún están con buenas producciones de leche, debieran ya haber recuperado condición corporal y estar cubiertas; éstas podrían ser suplementadas con 1 Kg por cada 4 L por sobre los 15 L/día, si hacen un consumo estimado de 6 a 8 Kg de MS/vaca/día de forraje fresco (cada vez más pradera) y, completa la ración el ensilaje + heno, con 6 a 8 Kg de MS.

Vacas no lactantes (secas)

En el sistema con parición bi-estacional (primavera y otoño), y en los estacionales de primavera ordenados, este grupo va disminuyendo progresivamente ante la parición de septiembre y unas pocas en octubre (cola de parición). En los sistemas permanentes aún hay vacas a secar; hacer la revisión de pezuñas y terapia de secado y estando las vacas en buena condición corporal (3,5), pueden acceder a un sector exclusivo para ellas con suplementación de forrajes (algo de ensilaje, y heno de gramíneas/paja a voluntad); no es recomendable el heno de leguminosas por los elevados niveles de calcio que contiene. Ya cerca del período de transición (a tres semanas del probable parto) debe hacerse un cambio gradual de la ración alimenticia que les permita ajustar su rumen y metabolismo en general a la condición de término de gestación, parto e inicio de lactancia, eventos que son determinantes del éxito productivo del sistema lechero. En general, no se debe olvidar que en la medida que la gestación llega a término, la vaca tiene menor capacidad de consumo (limitación física) y la demanda de nutrientes aumenta (crecimiento fetal y anexos embrionarios), de tal forma que el concentrado (2 a 3 Kg) y las sales minerales pre-parto (0,200 a 0,250 Kg) son muy necesarios de suplementar en esta fase previa al parto.

Vaquillas de reemplazo

De acuerdo con la época de nacimientos, las hembras de reemplazo debieran alcanzar un ritmo de crecimiento y desarrollo lo más homogéneo en el tiempo (0,600 a 0,750 Kg/día de ganancia de peso vivo), según la genética animal existente (tipo animal). Las vaquillas cubiertas en la temporada pasada (noviembre a enero, entre 15 y 18 meses de edad) debieran haber parido, o estar en plena época de partos (fines de invierno e inicios de primavera). Las vaquillas nacidas en el otoño del año anterior se encuentran terminando su época de cubiertas para mantenerse en la parición de otoño de un sistema bi-estacional ordenado. Como recomendación general es conveniente que en los últimos meses de gestación las vaquillas puedan pastorear praderas hasta su octavo mes y luego, juntarse con las vacas secas. Esto permite hacer más fácil su integración “social” al rebaño, y en especial también, ajustarse al régimen alimenticio y de manejo del período de transición. Hay que tener cuidado de hacer este manejo cuando haya un grupo de vaquillas con similar condición fisiológica; no se debe integrar nunca uno o dos animales al grupo de vacas, ya que pueden ser segregadas y sufrir traumatismos, en especial cuando hay un grupo numeroso de vacas. Hacia el término de este período, es posible que en conjunto, se les haga pasar por la sala de ordeña, y así, se acostumbren al ambiente en el que serán ordeñadas después del parto. Así, es posible asegurar mejor la ingesta del concentrado, que en estos animales puede ser aumentada en 1 Kg respecto de lo que consumen las vacas (2 – 3 Kg), según sea la calidad y cantidad del resto de los alimentos de la ración y de su condición corporal.

Terneros(as)

En el mes de septiembre tiende a declinar fuertemente los nacimientos de la temporada llamada de "primavera". Permanecer atento a las condiciones del parto en las vacas y cuidar de atender al recién nacido para que ingiera su primer calostro dentro de las primeras dos horas de vida y una segunda toma antes de las 6 horas. Lo anterior permitirá que, además de los nutrientes que requieren, puedan adquirir las defensas contra enfermedades al ingerir las inmunoglobulinas que difunden bien en la pared intestinal sólo en las primeras horas de vida. El ternero puede separase de la vaca ya a las 6 horas de vida ingresando a su crianza artificial con leche calostral y/o sustituto de leche. Además, desde el comienzo de esta etapa pueden recibir a voluntad concentrado inicial y agua; suplementar con heno después de los 30 días cuando ya estén consumiendo 0,5 Kg/día de concentrado. La crianza con dieta láctea puede hacerse hasta 2 ó 3 meses de edad, según sea el nivel tecnológico del sistema. Según la concentración de partos hay excedentes de calostro y leche calostral que pueden acidificarse para destinarla a los machos. Lo importante en la crianza de las hembras es conseguir cumplir los principales objetivos: ausencia de mortalidad y buen ritmo de crecimiento y desarrollo para lograr en las hembras una cubierta temprana (15 a 16 meses de edad), y un peso adecuado a la genética o tipo animal. Los terneros con nacimientos de “otoño" ocurridos desde marzo se encuentran ya destetados y según el clima pueden salir a praderas recibiendo suplementación con concentrados y heno (fibra) para compensar la baja fibra del pasto. Después de los tres meses aplicar las vacunas de enfermedades según pauta sanitaria recomendada por un médico veterinario.


Precordillera > Praderas

A fines de invierno, la pradera regularmente tiene un bajo crecimiento como consecuencia de bajas temperaturas, lo que se traduce en una disponibilidad de ingreso a la pradera de 1.800 a 2.000 kg MS/ha, que se logran entre 40 a 60 días. Esta situación comienza a acelerarse a medida que se van incrementando las temperaturas. Generalmente el aporte de la producción en la época invernal es marginal en el año. Sin embargo, una buena fertilidad y la fertilización estratégica de fines de invierno permitirán mejores tasas de crecimiento, pudiendo así disponer cada vez más de una mayor cantidad de pradera en la ración alimenticia de las vacas. En aquellos sistemas más intensivos aún puede haber ensilaje de maíz para ser complemento energético en este período, en donde la pradera contiene altos niveles de proteína. En rotaciones intensivas de maíz/ballica anual-avena, se utiliza el último crecimiento y luego se inicia la preparación de la próxima siembra de maíz para ensilaje. En el mes de septiembre, las praderas permanentes y bi-anuales, establecidas en marzo/abril, ya tuvieron probablemente un par de utilizaciones en pastoreo y sería oportuno realizar una fertilización estratégica de fines de invierno, esto permitiría acelerar el crecimiento de la pradera en los sectores de pastoreo. Después de una última utilización de invierno en las anuales o bi-anuales, programar los rezagos para conservación de forraje si fuese necesario. Ahora, según se vaya realizando el manejo de pastoreo de las praderas permanentes, habría que destinarlas a conservación en la medida que la disponibilidad pre-pastoreo supere los 2.800 Kg MS/ha. Los residuos post-pastoreo no debieran ser tan bajos a objeto de que con adecuadas temperaturas el rebrote sea rápido y se generen ciclos de pastoreo cortos (15 a 18 días; macollos con 2 a 2,5 hojas), para ofrecer una pradera altamente nutritiva.


Precordillera > Cultivos > Papas

En la Región de Los Ríos el mes de agosto se presentó con precipitaciones menores que lo normal, con temperaturas bajas, con alta variabilidad en ambos factores, incluyendo períodos de heladas extremas para la zona. En los últimos años, dado los precios del cultivo y el déficit hídrico estival, muchos agricultores están plantando temprano, es decir julio o agosto. Por lo tanto, en agosto y septiembre ya hay plantas en desarrollo, las que están expuestas a esta variabilidad climática. Sin embargo, la gran mayoría de las plantaciones se realizan en septiembre, en este momento se están terminando de preparar suelo y preparando la semilla para plantación.  Sin embargo, el pronóstico trimestral indica que la temporada presentará déficit hídrico con temperaturas mínimas más bajas de lo normal y temperaturas máximas sobre lo normal, dado lo anterior se recomienda plantar lo antes posible para que las plantas tengan mejor disponibilidad de agua durante su desarrollo vegetativo. A su vez realizar un buen barbecho y preparación de suelo, especialmente en sitios que vienen de praderas que pueden tener presencia de insectos en estado de larvas. 

Entre septiembre y noviembre, cuando predominan las temperaturas nocturnas bajas y los suelos fríos, es fundamental seleccionar tubérculos semilla sanos y bien acondicionados para favorecer una rápida emergencia de las plantas, reduciendo así el riesgo de enfermedades como la Rizoctoniasis. Se recomienda realizar una plantación superficial —a una profundidad equivalente a dos veces el tamaño del tubérculo— y, tras la emergencia, efectuar una aporca alta. Asimismo, es conveniente considerar tratamientos químicos preventivos aplicados al tubérculo y/o al surco de plantación, con el fin de proteger brotes y tallos en sus primeras etapas de desarrollo frente a patógenos del suelo.

Para la selección de tubérculos semilla se deben descartar aquellos con daños, pudrición o anormalidades, utilizando equipos limpios, desinfectados y calibrados para evitar golpes y contaminación; si se aplica un tratamiento a los tubérculos, es importante plantarlos de inmediato y no almacenarlos. 

En esta etapa también emergen plantas voluntarias o “huachas” de papa, que son una fuente importante de plagas y enfermedades, por lo que deben eliminarse manual o químicamente, al igual que todos los restos de papa, que conviene enterrar o cubrir con plástico negro. Se debe tener en consideración que esta temporada habrá muchas papas voluntarias en los sectores productores, ya que quedaron muchas plantaciones sin cosechar la temporada anterior. La fertilización debe realizarse al momento de la plantación y es recomendable considerar la instalación de un sistema de riego para optimizar el desarrollo del cultivo.

Para las plantaciones tempranas, se debe consultar el sistema de alerta temprana para tizón tardío INIA para el manejo de esta enfermedad. El sistema ya ha indicado condiciones apropiadas para la infección de P. infestans desde agosto en adelante. Consulte https://tizon.inia.cl 

Más información sobre manejo del cultivo lo puede encontrar en https://enfermedadespapa.inia.cl

 


Secano Costero > Hortalizas

En el mes de septiembre si bien comienzan a aumentar las temperaturas y también las horas luz, persisten días fríos y heladas en algunos sectores, por lo que es necesario tomar los resguardos correspondientes. Este mes, es un mes de transición hacia la primavera y marca el inicio de las labores más intensivas de la temporada.

Se continúa con la elaboración de almácigos de hortalizas principalmente de especies que requieren mayor temperatura al trasplante y para su desarrollo, estos son principalmente las hortalizas de fruto como tomates, pepinos, pimientos y ajíes. Para la elaboración de los almácigos, se debe considerar el uso de un buen sustrato, el ideal es utilizar biopreparados como compost, bokashi o vermicompost (lombricompost). Se recomienda mezclar en partes iguales el suelo (tierra) y compost, o suelo y vermicompost, en el caso del bokashi debe ser una parte de este por dos de suelo. Una vez mezclados los sustratos deben ser harneados (tamizados) para que quede un sustrato homogéneo. Además, se debe considerar una humedad adecuada para evitar la propagación de enfermedades y el anegamiento de los plantines.

Los almácigos deben ser conservados en ambientes protegidos, dentro de invernadero y si es necesario, de acuerdo a las temperaturas, se debe realizar micro túneles con cubiertas plásticas o malla antihelada.  

El invernadero requiere monitoreo permanente para asegurar un ambiente óptimo para el desarrollo de las hortalizas. Es fundamental ventilar y ajustar el riego según la humedad relativa y la temperatura interna, evitando excesos de humedad y desbalances hídricos, lo que contribuye a prevenir enfermedades. De manera complementaria, se recomienda rotar los cultivos en cada ciclo productivo, práctica que reduce la incidencia de plagas y enfermedades específicas de las hortalizas.

De cara a la temporada de mayor producción, es indispensable revisar el estado de las mallas, plásticos y túneles, reparando oportunamente cualquier daño. Asimismo, se debe verificar el correcto funcionamiento de los sistemas de riego, ya sean por aspersión o goteo, garantizando que se encuentren en óptimas condiciones para asegurar una distribución eficiente y uniforme del agua.

 


Secano Interior > Ganadería

Vacas en ordeña

Según sea la oferta de pradera en este período y con los cultivos forrajeros de invierno prácticamente ya cosechados (coles, rutabagas), y sólo el segundo o tercer corte de alguna ballica anual+ avena, el voluminoso principal a suplementar son los ensilajes provenientes de una pradera de rotación y/o permanente. Los sistemas más intensificados cuentan con otros ensilajes como el de maíz, que permite mejorar la concentración energética de la ración de forrajes conservados. Esto es importante para las vacas recién paridas que requieren de elevados consumos de alimentos con alto valor nutritivo (MS mayor a 25-30% y EM de 2,6-2,7 Mcal/kg MS). La suplementación de concentrados permite también aumentar el consumo de materia seca y realizar un balance nutricional de la ración según sea la calidad de los componentes voluminosos (ensilajes, pradera, heno). En general, hay que señalar que en este período la pradera puede ser aun un alimento marginal, dependiendo de la biomasa disponible y de la oferta por animal/día, pero existe seguridad de que contiene alta proteína y muy degradable. Emplear concentrados o ingredientes que tengan valores de proteína de entre 8 y 14% PC, pero con una buena proporción de ella bypass (pasa intacta al intestino) y altos en EM (3,0 a 3,3 Mcal/kg MS). También, dada la alta degradabilidad de la proteína de los ensilajes, puede ser necesario suplementar con subproductos proteicos de origen vegetal (afrechos de o raps, de soya) u otros sólo en cantidades estratégicas. Las vacas recién paridas de alto mérito genético (mayor a 6.000-7.000 L vaca masa), y con condición corporal 2,0 – 2,5 (escala 1 a 5) se encuentran en su curva ascendente de leche y requieren el máximo de atención para optimizar su eficiencia productiva. Asumiendo que están recibiendo forrajes conservados de excelente calidad podrían recibir concentrados en cantidad de 0,150 a 0,200 Kg por litro de leche producida. Las vacas que parieron en otoño y que aún están con buenas producciones de leche, debieran ya haber recuperado condición corporal y estar cubiertas; éstas podrían ser suplementadas con 1 Kg por cada 4 L por sobre los 15 L/día, si hacen un consumo estimado de 6 a 8 Kg de MS/vaca/día de forraje fresco (cada vez más pradera) y, completa la ración el ensilaje + heno, con 6 a 8 Kg de MS.

Vacas no lactantes (secas)

En el sistema con parición bi-estacional (primavera y otoño), y en los estacionales de primavera ordenados, este grupo va disminuyendo progresivamente ante la parición de septiembre y unas pocas en octubre (cola de parición). En los sistemas permanentes aún hay vacas a secar; hacer la revisión de pezuñas y terapia de secado y estando las vacas en buena condición corporal (3,5), pueden acceder a un sector exclusivo para ellas con suplementación de forrajes (algo de ensilaje, y heno de gramíneas/paja a voluntad); no es recomendable el heno de leguminosas por los elevados niveles de calcio que contiene. Ya cerca del período de transición (a tres semanas del probable parto) debe hacerse un cambio gradual de la ración alimenticia que les permita ajustar su rumen y metabolismo en general a la condición de término de gestación, parto e inicio de lactancia, eventos que son determinantes del éxito productivo del sistema lechero. En general, no se debe olvidar que en la medida que la gestación llega a término, la vaca tiene menor capacidad de consumo (limitación física) y la demanda de nutrientes aumenta (crecimiento fetal y anexos embrionarios), de tal forma que el concentrado (2 a 3 Kg) y las sales minerales pre-parto (0,200 a 0,250 Kg) son muy necesarios de suplementar en esta fase previa al parto.

Vaquillas de reemplazo

De acuerdo con la época de nacimientos, las hembras de reemplazo debieran alcanzar un ritmo de crecimiento y desarrollo lo más homogéneo en el tiempo (0,600 a 0,750 Kg/día de ganancia de peso vivo), según la genética animal existente (tipo animal). Las vaquillas cubiertas en la temporada pasada (noviembre a enero, entre 15 y 18 meses de edad) debieran haber parido, o estar en plena época de partos (fines de invierno e inicios de primavera). Las vaquillas nacidas en el otoño del año anterior se encuentran terminando su época de cubiertas para mantenerse en la parición de otoño de un sistema bi-estacional ordenado. Como recomendación general es conveniente que en los últimos meses de gestación las vaquillas puedan pastorear praderas hasta su octavo mes y luego, juntarse con las vacas secas. Esto permite hacer más fácil su integración “social” al rebaño, y en especial también, ajustarse al régimen alimenticio y de manejo del período de transición. Hay que tener cuidado de hacer este manejo cuando haya un grupo de vaquillas con similar condición fisiológica; no se debe integrar nunca uno o dos animales al grupo de vacas, ya que pueden ser segregadas y sufrir traumatismos, en especial cuando hay un grupo numeroso de vacas. Hacia el término de este período, es posible que en conjunto, se les haga pasar por la sala de ordeña, y así, se acostumbren al ambiente en el que serán ordeñadas después del parto. Así, es posible asegurar mejor la ingesta del concentrado, que en estos animales puede ser aumentada en 1 Kg respecto de lo que consumen las vacas (2 – 3 Kg), según sea la calidad y cantidad del resto de los alimentos de la ración y de su condición corporal.

Terneros(as)

En el mes de septiembre tiende a declinar fuertemente los nacimientos de la temporada llamada de "primavera". Permanecer atento a las condiciones del parto en las vacas y cuidar de atender al recién nacido para que ingiera su primer calostro dentro de las primeras dos horas de vida y una segunda toma antes de las 6 horas. Lo anterior permitirá que, además de los nutrientes que requieren, puedan adquirir las defensas contra enfermedades al ingerir las inmunoglobulinas que difunden bien en la pared intestinal sólo en las primeras horas de vida. El ternero puede separase de la vaca ya a las 6 horas de vida ingresando a su crianza artificial con leche calostral y/o sustituto de leche. Además, desde el comienzo de esta etapa pueden recibir a voluntad concentrado inicial y agua; suplementar con heno después de los 30 días cuando ya estén consumiendo 0,5 Kg/día de concentrado. La crianza con dieta láctea puede hacerse hasta 2 ó 3 meses de edad, según sea el nivel tecnológico del sistema. Según la concentración de partos hay excedentes de calostro y leche calostral que pueden acidificarse para destinarla a los machos. Lo importante en la crianza de las hembras es conseguir cumplir los principales objetivos: ausencia de mortalidad y buen ritmo de crecimiento y desarrollo para lograr en las hembras una cubierta temprana (15 a 16 meses de edad), y un peso adecuado a la genética o tipo animal. Los terneros con nacimientos de “otoño" ocurridos desde marzo se encuentran ya destetados y según el clima pueden salir a praderas recibiendo suplementación con concentrados y heno (fibra) para compensar la baja fibra del pasto. Después de los tres meses aplicar las vacunas de enfermedades según pauta sanitaria recomendada por un médico veterinario.


Secano Interior > Praderas

A fines de invierno, la pradera regularmente tiene un bajo crecimiento como consecuencia de bajas temperaturas, lo que se traduce en una disponibilidad de ingreso a la pradera de 1.800 a 2.000 kg MS/ha, que se logran entre 40 a 60 días. Esta situación comienza a acelerarse a medida que se van incrementando las temperaturas. Generalmente el aporte de la producción en la época invernal es marginal en el año. Sin embargo, una buena fertilidad y la fertilización estratégica de fines de invierno permitirán mejores tasas de crecimiento, pudiendo así disponer cada vez más de una mayor cantidad de pradera en la ración alimenticia de las vacas. En aquellos sistemas más intensivos aún puede haber ensilaje de maíz para ser complemento energético en este período, en donde la pradera contiene altos niveles de proteína. En rotaciones intensivas de maíz/ballica anual-avena, se utiliza el último crecimiento y luego se inicia la preparación de la próxima siembra de maíz para ensilaje. En el mes de septiembre, las praderas permanentes y bi-anuales, establecidas en marzo/abril, ya tuvieron probablemente un par de utilizaciones en pastoreo y sería oportuno realizar una fertilización estratégica de fines de invierno, esto permitiría acelerar el crecimiento de la pradera en los sectores de pastoreo. Después de una última utilización de invierno en las anuales o bi-anuales, programar los rezagos para conservación de forraje si fuese necesario. Ahora, según se vaya realizando el manejo de pastoreo de las praderas permanentes, habría que destinarlas a conservación en la medida que la disponibilidad pre-pastoreo supere los 2.800 Kg MS/ha. Los residuos post-pastoreo no debieran ser tan bajos a objeto de que con adecuadas temperaturas el rebrote sea rápido y se generen ciclos de pastoreo cortos (15 a 18 días; macollos con 2 a 2,5 hojas), para ofrecer una pradera altamente nutritiva.


Secano Interior > Cultivos > Papas

En la Región de Los Ríos el mes de agosto se presentó con precipitaciones menores que lo normal, con temperaturas bajas, con alta variabilidad en ambos factores, incluyendo períodos de heladas extremas para la zona. En los últimos años, dado los precios del cultivo y el déficit hídrico estival, muchos agricultores están plantando temprano, es decir julio o agosto. Por lo tanto, en agosto y septiembre ya hay plantas en desarrollo, las que están expuestas a esta variabilidad climática. Sin embargo, la gran mayoría de las plantaciones se realizan en septiembre, en este momento se están terminando de preparar suelo y preparando la semilla para plantación.  Sin embargo, el pronóstico trimestral indica que la temporada presentará déficit hídrico con temperaturas mínimas más bajas de lo normal y temperaturas máximas sobre lo normal, dado lo anterior se recomienda plantar lo antes posible para que las plantas tengan mejor disponibilidad de agua durante su desarrollo vegetativo. A su vez realizar un buen barbecho y preparación de suelo, especialmente en sitios que vienen de praderas que pueden tener presencia de insectos en estado de larvas. 

Entre septiembre y noviembre, cuando predominan las temperaturas nocturnas bajas y los suelos fríos, es fundamental seleccionar tubérculos semilla sanos y bien acondicionados para favorecer una rápida emergencia de las plantas, reduciendo así el riesgo de enfermedades como la Rizoctoniasis. Se recomienda realizar una plantación superficial —a una profundidad equivalente a dos veces el tamaño del tubérculo— y, tras la emergencia, efectuar una aporca alta. Asimismo, es conveniente considerar tratamientos químicos preventivos aplicados al tubérculo y/o al surco de plantación, con el fin de proteger brotes y tallos en sus primeras etapas de desarrollo frente a patógenos del suelo.

Para la selección de tubérculos semilla se deben descartar aquellos con daños, pudrición o anormalidades, utilizando equipos limpios, desinfectados y calibrados para evitar golpes y contaminación; si se aplica un tratamiento a los tubérculos, es importante plantarlos de inmediato y no almacenarlos. 

En esta etapa también emergen plantas voluntarias o “huachas” de papa, que son una fuente importante de plagas y enfermedades, por lo que deben eliminarse manual o químicamente, al igual que todos los restos de papa, que conviene enterrar o cubrir con plástico negro. Se debe tener en consideración que esta temporada habrá muchas papas voluntarias en los sectores productores, ya que quedaron muchas plantaciones sin cosechar la temporada anterior. La fertilización debe realizarse al momento de la plantación y es recomendable considerar la instalación de un sistema de riego para optimizar el desarrollo del cultivo.

Para las plantaciones tempranas, se debe consultar el sistema de alerta temprana para tizón tardío INIA para el manejo de esta enfermedad. El sistema ya ha indicado condiciones apropiadas para la infección de P. infestans desde agosto en adelante. Consulte https://tizon.inia.cl 

Más información sobre manejo del cultivo lo puede encontrar en https://enfermedadespapa.inia.cl


Valle Secano > Hortalizas

En el mes de septiembre si bien comienzan a aumentar las temperaturas y también las horas luz, persisten días fríos y heladas en algunos sectores, por lo que es necesario tomar los resguardos correspondientes. Este mes, es un mes de transición hacia la primavera y marca el inicio de las labores más intensivas de la temporada.

Se continúa con la elaboración de almácigos de hortalizas principalmente de especies que requieren mayor temperatura al trasplante y para su desarrollo, estos son principalmente las hortalizas de fruto como tomates, pepinos, pimientos y ajíes. Para la elaboración de los almácigos, se debe considerar el uso de un buen sustrato, el ideal es utilizar biopreparados como compost, bokashi o vermicompost (lombricompost). Se recomienda mezclar en partes iguales el suelo (tierra) y compost, o suelo y vermicompost, en el caso del bokashi debe ser una parte de este por dos de suelo. Una vez mezclados los sustratos deben ser harneados (tamizados) para que quede un sustrato homogéneo. Además, se debe considerar una humedad adecuada para evitar la propagación de enfermedades y el anegamiento de los plantines.

Los almácigos deben ser conservados en ambientes protegidos, dentro de invernadero y si es necesario, de acuerdo a las temperaturas, se debe realizar micro túneles con cubiertas plásticas o malla antihelada.  

El invernadero requiere monitoreo permanente para asegurar un ambiente óptimo para el desarrollo de las hortalizas. Es fundamental ventilar y ajustar el riego según la humedad relativa y la temperatura interna, evitando excesos de humedad y desbalances hídricos, lo que contribuye a prevenir enfermedades. De manera complementaria, se recomienda rotar los cultivos en cada ciclo productivo, práctica que reduce la incidencia de plagas y enfermedades específicas de las hortalizas.

De cara a la temporada de mayor producción, es indispensable revisar el estado de las mallas, plásticos y túneles, reparando oportunamente cualquier daño. Asimismo, se debe verificar el correcto funcionamiento de los sistemas de riego, ya sean por aspersión o goteo, garantizando que se encuentren en óptimas condiciones para asegurar una distribución eficiente y uniforme del agua.


Valle Secano > Ganadería

Vacas en ordeña

Según sea la oferta de pradera en este período y con los cultivos forrajeros de invierno prácticamente ya cosechados (coles, rutabagas), y sólo el segundo o tercer corte de alguna ballica anual+ avena, el voluminoso principal a suplementar son los ensilajes provenientes de una pradera de rotación y/o permanente. Los sistemas más intensificados cuentan con otros ensilajes como el de maíz, que permite mejorar la concentración energética de la ración de forrajes conservados. Esto es importante para las vacas recién paridas que requieren de elevados consumos de alimentos con alto valor nutritivo (MS mayor a 25-30% y EM de 2,6-2,7 Mcal/kg MS). La suplementación de concentrados permite también aumentar el consumo de materia seca y realizar un balance nutricional de la ración según sea la calidad de los componentes voluminosos (ensilajes, pradera, heno). En general, hay que señalar que en este período la pradera puede ser aun un alimento marginal, dependiendo de la biomasa disponible y de la oferta por animal/día, pero existe seguridad de que contiene alta proteína y muy degradable. Emplear concentrados o ingredientes que tengan valores de proteína de entre 8 y 14% PC, pero con una buena proporción de ella bypass (pasa intacta al intestino) y altos en EM (3,0 a 3,3 Mcal/kg MS). También, dada la alta degradabilidad de la proteína de los ensilajes, puede ser necesario suplementar con subproductos proteicos de origen vegetal (afrechos de o raps, de soya) u otros sólo en cantidades estratégicas. Las vacas recién paridas de alto mérito genético (mayor a 6.000-7.000 L vaca masa), y con condición corporal 2,0 – 2,5 (escala 1 a 5) se encuentran en su curva ascendente de leche y requieren el máximo de atención para optimizar su eficiencia productiva. Asumiendo que están recibiendo forrajes conservados de excelente calidad podrían recibir concentrados en cantidad de 0,150 a 0,200 Kg por litro de leche producida. Las vacas que parieron en otoño y que aún están con buenas producciones de leche, debieran ya haber recuperado condición corporal y estar cubiertas; éstas podrían ser suplementadas con 1 Kg por cada 4 L por sobre los 15 L/día, si hacen un consumo estimado de 6 a 8 Kg de MS/vaca/día de forraje fresco (cada vez más pradera) y, completa la ración el ensilaje + heno, con 6 a 8 Kg de MS.

Vacas no lactantes (secas)

En el sistema con parición bi-estacional (primavera y otoño), y en los estacionales de primavera ordenados, este grupo va disminuyendo progresivamente ante la parición de septiembre y unas pocas en octubre (cola de parición). En los sistemas permanentes aún hay vacas a secar; hacer la revisión de pezuñas y terapia de secado y estando las vacas en buena condición corporal (3,5), pueden acceder a un sector exclusivo para ellas con suplementación de forrajes (algo de ensilaje, y heno de gramíneas/paja a voluntad); no es recomendable el heno de leguminosas por los elevados niveles de calcio que contiene. Ya cerca del período de transición (a tres semanas del probable parto) debe hacerse un cambio gradual de la ración alimenticia que les permita ajustar su rumen y metabolismo en general a la condición de término de gestación, parto e inicio de lactancia, eventos que son determinantes del éxito productivo del sistema lechero. En general, no se debe olvidar que en la medida que la gestación llega a término, la vaca tiene menor capacidad de consumo (limitación física) y la demanda de nutrientes aumenta (crecimiento fetal y anexos embrionarios), de tal forma que el concentrado (2 a 3 Kg) y las sales minerales pre-parto (0,200 a 0,250 Kg) son muy necesarios de suplementar en esta fase previa al parto.

Vaquillas de reemplazo

De acuerdo con la época de nacimientos, las hembras de reemplazo debieran alcanzar un ritmo de crecimiento y desarrollo lo más homogéneo en el tiempo (0,600 a 0,750 Kg/día de ganancia de peso vivo), según la genética animal existente (tipo animal). Las vaquillas cubiertas en la temporada pasada (noviembre a enero, entre 15 y 18 meses de edad) debieran haber parido, o estar en plena época de partos (fines de invierno e inicios de primavera). Las vaquillas nacidas en el otoño del año anterior se encuentran terminando su época de cubiertas para mantenerse en la parición de otoño de un sistema bi-estacional ordenado. Como recomendación general es conveniente que en los últimos meses de gestación las vaquillas puedan pastorear praderas hasta su octavo mes y luego, juntarse con las vacas secas. Esto permite hacer más fácil su integración “social” al rebaño, y en especial también, ajustarse al régimen alimenticio y de manejo del período de transición. Hay que tener cuidado de hacer este manejo cuando haya un grupo de vaquillas con similar condición fisiológica; no se debe integrar nunca uno o dos animales al grupo de vacas, ya que pueden ser segregadas y sufrir traumatismos, en especial cuando hay un grupo numeroso de vacas. Hacia el término de este período, es posible que en conjunto, se les haga pasar por la sala de ordeña, y así, se acostumbren al ambiente en el que serán ordeñadas después del parto. Así, es posible asegurar mejor la ingesta del concentrado, que en estos animales puede ser aumentada en 1 Kg respecto de lo que consumen las vacas (2 – 3 Kg), según sea la calidad y cantidad del resto de los alimentos de la ración y de su condición corporal.

Terneros(as)

En el mes de septiembre tiende a declinar fuertemente los nacimientos de la temporada llamada de "primavera". Permanecer atento a las condiciones del parto en las vacas y cuidar de atender al recién nacido para que ingiera su primer calostro dentro de las primeras dos horas de vida y una segunda toma antes de las 6 horas. Lo anterior permitirá que, además de los nutrientes que requieren, puedan adquirir las defensas contra enfermedades al ingerir las inmunoglobulinas que difunden bien en la pared intestinal sólo en las primeras horas de vida. El ternero puede separase de la vaca ya a las 6 horas de vida ingresando a su crianza artificial con leche calostral y/o sustituto de leche. Además, desde el comienzo de esta etapa pueden recibir a voluntad concentrado inicial y agua; suplementar con heno después de los 30 días cuando ya estén consumiendo 0,5 Kg/día de concentrado. La crianza con dieta láctea puede hacerse hasta 2 ó 3 meses de edad, según sea el nivel tecnológico del sistema. Según la concentración de partos hay excedentes de calostro y leche calostral que pueden acidificarse para destinarla a los machos. Lo importante en la crianza de las hembras es conseguir cumplir los principales objetivos: ausencia de mortalidad y buen ritmo de crecimiento y desarrollo para lograr en las hembras una cubierta temprana (15 a 16 meses de edad), y un peso adecuado a la genética o tipo animal. Los terneros con nacimientos de “otoño" ocurridos desde marzo se encuentran ya destetados y según el clima pueden salir a praderas recibiendo suplementación con concentrados y heno (fibra) para compensar la baja fibra del pasto. Después de los tres meses aplicar las vacunas de enfermedades según pauta sanitaria recomendada por un médico veterinario.


Valle Secano > Praderas

A fines de invierno, la pradera regularmente tiene un bajo crecimiento como consecuencia de bajas temperaturas, lo que se traduce en una disponibilidad de ingreso a la pradera de 1.800 a 2.000 kg MS/ha, que se logran entre 40 a 60 días. Esta situación comienza a acelerarse a medida que se van incrementando las temperaturas. Generalmente el aporte de la producción en la época invernal es marginal en el año. Sin embargo, una buena fertilidad y la fertilización estratégica de fines de invierno permitirán mejores tasas de crecimiento, pudiendo así disponer cada vez más de una mayor cantidad de pradera en la ración alimenticia de las vacas. En aquellos sistemas más intensivos aún puede haber ensilaje de maíz para ser complemento energético en este período, en donde la pradera contiene altos niveles de proteína. En rotaciones intensivas de maíz/ballica anual-avena, se utiliza el último crecimiento y luego se inicia la preparación de la próxima siembra de maíz para ensilaje. En el mes de septiembre, las praderas permanentes y bi-anuales, establecidas en marzo/abril, ya tuvieron probablemente un par de utilizaciones en pastoreo y sería oportuno realizar una fertilización estratégica de fines de invierno, esto permitiría acelerar el crecimiento de la pradera en los sectores de pastoreo. Después de una última utilización de invierno en las anuales o bi-anuales, programar los rezagos para conservación de forraje si fuese necesario. Ahora, según se vaya realizando el manejo de pastoreo de las praderas permanentes, habría que destinarlas a conservación en la medida que la disponibilidad pre-pastoreo supere los 2.800 Kg MS/ha. Los residuos post-pastoreo no debieran ser tan bajos a objeto de que con adecuadas temperaturas el rebrote sea rápido y se generen ciclos de pastoreo cortos (15 a 18 días; macollos con 2 a 2,5 hojas), para ofrecer una pradera altamente nutritiva.


Valle Secano > Cultivos > Papas

En la Región de Los Ríos el mes de agosto se presentó con precipitaciones menores que lo normal, con temperaturas bajas, con alta variabilidad en ambos factores, incluyendo períodos de heladas extremas para la zona. En los últimos años, dado los precios del cultivo y el déficit hídrico estival, muchos agricultores están plantando temprano, es decir julio o agosto. Por lo tanto, en agosto y septiembre ya hay plantas en desarrollo, las que están expuestas a esta variabilidad climática. Sin embargo, la gran mayoría de las plantaciones se realizan en septiembre, en este momento se están terminando de preparar suelo y preparando la semilla para plantación.  Sin embargo, el pronóstico trimestral indica que la temporada presentará déficit hídrico con temperaturas mínimas más bajas de lo normal y temperaturas máximas sobre lo normal, dado lo anterior se recomienda plantar lo antes posible para que las plantas tengan mejor disponibilidad de agua durante su desarrollo vegetativo. A su vez realizar un buen barbecho y preparación de suelo, especialmente en sitios que vienen de praderas que pueden tener presencia de insectos en estado de larvas. 

Entre septiembre y noviembre, cuando predominan las temperaturas nocturnas bajas y los suelos fríos, es fundamental seleccionar tubérculos semilla sanos y bien acondicionados para favorecer una rápida emergencia de las plantas, reduciendo así el riesgo de enfermedades como la Rizoctoniasis. Se recomienda realizar una plantación superficial —a una profundidad equivalente a dos veces el tamaño del tubérculo— y, tras la emergencia, efectuar una aporca alta. Asimismo, es conveniente considerar tratamientos químicos preventivos aplicados al tubérculo y/o al surco de plantación, con el fin de proteger brotes y tallos en sus primeras etapas de desarrollo frente a patógenos del suelo.

Para la selección de tubérculos semilla se deben descartar aquellos con daños, pudrición o anormalidades, utilizando equipos limpios, desinfectados y calibrados para evitar golpes y contaminación; si se aplica un tratamiento a los tubérculos, es importante plantarlos de inmediato y no almacenarlos. 

En esta etapa también emergen plantas voluntarias o “huachas” de papa, que son una fuente importante de plagas y enfermedades, por lo que deben eliminarse manual o químicamente, al igual que todos los restos de papa, que conviene enterrar o cubrir con plástico negro. Se debe tener en consideración que esta temporada habrá muchas papas voluntarias en los sectores productores, ya que quedaron muchas plantaciones sin cosechar la temporada anterior. La fertilización debe realizarse al momento de la plantación y es recomendable considerar la instalación de un sistema de riego para optimizar el desarrollo del cultivo.

Para las plantaciones tempranas, se debe consultar el sistema de alerta temprana para tizón tardío INIA para el manejo de esta enfermedad. El sistema ya ha indicado condiciones apropiadas para la infección de P. infestans desde agosto en adelante. Consulte https://tizon.inia.cl 

Más información sobre manejo del cultivo lo puede encontrar en https://enfermedadespapa.inia.cl

 


Disponibilidad de Agua PDF
Análisis Del Indice De Vegetación Normalizado (NDVI) PDF

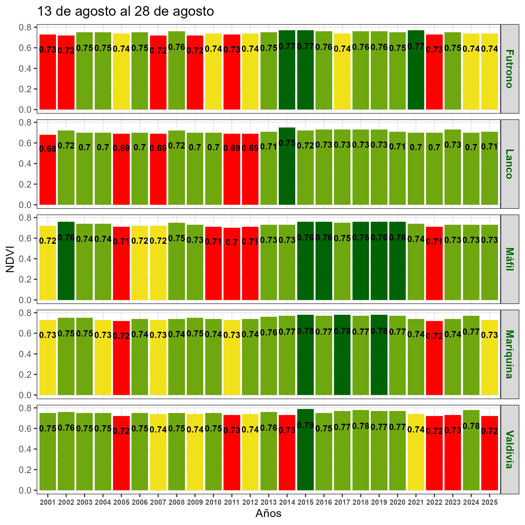
Respecto de la respuesta fisiológica de las plantas al efecto del clima, las imágenes satelitales reflejan la magnitud del crecimiento o disminución de la cobertura vegetal en esta época del año mediante el índice de vegetación NDVI (Desviación Normalizada del Índice de Vegetación).

Para esta quincena se observa un NDVI promedio regional de 0.74 mientras el año pasado había sido de 0.74. El valor promedio histórico para esta región, en este período del año es de 0.74.

El resumen regional en el contexto temporal se puede observar en el siguiente gráfico.

La situación por comunas se presenta en el siguiente gráfico, donde se presentan las comunas con índices más bajos.

Indice De Condición De La Vegetación (VCI) (En Evaluación) PDF

Para el monitoreo del estado de la vegetación en la Región se utilizó el índice de condición de la vegetación, VCI (Kogan, 1990, 1995). Este índice se encuentra entre valores de 0% a 100%. Valores bajo 40% se asocian a una condición desfavorable en la vegetación, siendo 0% la peor condición histórica y 100% la mejor (tabla 1).

En términos globales la Región presentó un valor mediano de VCI de 62% para el período comprendido desde el 13 al 28 de agosto. A igual período del año pasado presentaba un VCI de 63% (Fig. 1). De acuerdo a la Tabla 1 la Región de Los Rios, en términos globales presenta una condición Favorable.

Tabla 1. Clasificación de la condición de la vegetación de acuerdo a los valores del índice VCI.

 

Tabla 2. Resumen de la condición de la vegetación comunal en la Región de acuerdo al análisis del índice VCI.

 

Figura 1. Valores del índice VCI para el mismo período entre los años 2000 al 2022 para la Región de Los Rios

 

Figura 2. Valores promedio de VCI en Matorrales en la Región de Los Rios

 

Figura 3. Valores promedio de VCI en praderas en la Región de Los Rios

 

Figura 4. Valores promedio de VCI en terrenos de uso agrícola en la Región de Los Rios

 

Figura 5. Valores comunales promedio de VCI en la Región de Los Rios de acuerdo a la clasificación de la Tabla 1.

 

Las comunas que presentan los valores más bajos del índice VCI en la Región corresponden a Valdivia, Mariquina, Máfil, Futrono y Lanco con 33, 43, 55, 57 y 61% de VCI respectivamente.

Figura 6. Valores del índice VCI para las 5 comunas con valores más bajos del índice del 13 al 28 de agosto.

Análisis Del Índice De Vegetación Ajustado al Suelo (SAVI) PDF