Boletín Agrometeorológico - Vista previa - Valparaíso - Publicación de Septiembre 2025
Portada

Boletín Nacional de Análisis de Riesgos Agroclimáticos para las Principales Especies Frutales y Cultivos y la Ganadería

SEPTIEMBRE 2025 — REGIÓN VALPARAÍSO

 

Autores INIA

Jaime Salvo Del Pedregal, Ing. Agrónomo Ph.D, La Cruz
Carolina Salazar Parra, Bióloga Ambiental, Dra. Ciencias Biológicas, La Platina
Rodrigo Candia Antich, Ingeniero Agronomo M.Sc., La Platina

Marcel Fuentes Bustamante, Ingeniero Civil Agrícola MSc., Quilamapu
Jaime Salvo Del Pedregal, Ing. Agrónomo Ph.D, La Cruz
Raúl Orrego, Ingeniero en Recursos Naturales, Dr, Quilamapu
René Sepúlveda, Ingeniero Civil Agrícola (C), Quilamapu

Coordinador INIA: Jaime Salvo Del Pedregal, Ing. Agrónomo Ph.D, La Cruz

Introducción

La V Región de Valparaíso presenta varios climas diferentes: 1 Clima subártico (Dsc) en Portillo; 2 clima de la tundra (ET) en Caracoles, Cancha Pelada, Parada Caracoles, Codelco Andina; 3 Clima mediterráneo de verano (Csa) en Lo Abarca, San Carlos, Costa Azul, San Sebastian y Cuncumén; y los que predominan son 4 Clima mediterráneo de verano cálido (Csb) en El Juncal, Alto de la Posada, El Peñón, La Pulpería, San Francisco y 5 los Climas fríos y semiáridos (BSk) en El Pedernal, El Chivato, Santa Maria, Calle Larga y Chalaco. Este boletín agroclimático regional, basado en la información aportada por www.agromet.cl y https://agrometeorologia.cl/ , así como información auxiliar de diversas fuentes, entrega un análisis del comportamiento de las principales variables climáticas que inciden en la producción agropecuaria y efectúa un diagnóstico sobre sus efectos, particularmente cuando estos parámetros exhiban comportamientos anómalos que pueden afectar la cantidad o la calidad de la producción.

http://riesgoclimatico.inia.cl

Resumen Ejecutivo

En Valparaíso, la primavera 2025 llega con temperaturas máximas sobre lo normal y precipitaciones bajo lo habitual, mientras la probabilidad de La Niña para octubre-diciembre (71%) anticipa un trimestre más seco y cálido. En paltos, en plena floración, se recomienda asegurar riego continuo, podas ligeras para estimular brotes vigorosos y fertilización equilibrada con nitrógeno, fósforo, potasio y micronutrientes. En tomates bajo invernadero, el doble techo y ventilación controlada reducirán enfermedades por humedad, junto a riego tecnificado y monitoreo estricto de plagas como mosquita blanca y arañita roja. En la vid, en etapa de brotación, se sugiere poda en verde, control preventivo de burrito y chanchito blanco, y protección contra heladas tardías. En todos los cultivos, el riego eficiente y el manejo integrado de plagas serán claves para enfrentar una primavera más seca y calurosa que la habitual.

Componente Meteorológico

¿Qué está pasando con el clima?

A inicios de la primavera 2025, el clima en Chile muestra contrastes marcados entre regiones. El invierno dejó un déficit de precipitaciones desde Atacama hasta Magallanes, con lluvias por debajo del promedio en la zona central y sur, salvo superávits puntuales en el altiplano del Norte Grande. El pronóstico para septiembre-noviembre anticipa ausencia de lluvias entre Arica y Atacama y precipitaciones bajo lo normal desde Coquimbo al sur. Las temperaturas mínimas serán bajo lo normal entre Coquimbo y Aysén, pero estarán sobre lo normal en Arica, Atacama y Magallanes. Las máximas, en cambio, se ubicarán sobre lo normal en todo el país, con mayor intensidad entre Coquimbo y Biobío. Agosto cerró con condiciones ENSO-neutral, pero los modelos climáticos proyectan una transición a La Niña en primavera, con 71% de probabilidad para octubre-diciembre. La Niña podría reducir aún más las lluvias en la zona central, aunque también tendería a moderar el aumento de temperaturas asociado al cambio climático. En conjunto, este escenario anuncia una primavera más cálida y seca en gran parte del país, con implicancias importantes para la agricultura, la disponibilidad de agua y la gestión de riesgos climáticos en los próximos meses. El evento de La Niña 1998-2001 surgió por anomalías negativas de calor en el Pacífico, que mantuvieron frías las aguas ecuatoriales por años. En cambio, el de 2020-2023 fue impulsado por vientos alisios persistentes originados en el hemisferio sur (Chen et al., 2025), un nuevo mecanismo que podría estar activando la fase Niña prevista para 2025.

 

Figura 1. Las probabilidades del fenómeno ENSO indican cuáles serán las condiciones meteorológicas esperadas durante la temporada agrícola actual.

Figura 2. Evolución de Modelos de predicción del comportamiento del fenómeno ENSO representando la probabilidad de ocurrencia de La Niña en la mitad inferior del gráfico, y la de El Niño en la mitad superior del gráfico. Los registros en el rango entre -0.5 y +0.5 representan un pronóstico d condiciones neutras, y los registros sobre 0.5 indican el probable desarrollo del fenómeno del Niño.

Figura 3.- Comparación de temperaturas medias del mes entre años en Viña del Mar, La Cruz y San Felipe

Estación Colliguay

La estación Colliguay corresponde al distrito agroclimático 5-6-2. Para este distrito climático la temperatura mínima, media y máxima climatológicas alcanzan los 3.3°C, 9.8°C y 16.3°C respectivamente. Por su parte, respecto a las temperaturas medidas durante el mes de agosto en la estación: la temperatura mínima alcanzo los 3°C (-0.3°C bajo la climatológica), la temperatura media 10.4°C (0.6°C sobre la climatológica) y la temperatura máxima llegó a los 18.1°C (1.8°C sobre la climatológica). En el mes de agosto se registró una pluviometría de 178.1 mm, lo cual representa un 274% con respecto al mismo mes de un año normal. De enero a agosto se ha registrado un total acumulado de 427.6 mm, en circunstancias que un año normal registraría a la fecha 362 mm, lo que representa un superávit de 18.1%. A la misma fecha, durante el año 2024 la precipitación alcanzaba los 191.5 mm.

 

 

 

 

Estación Cuncumén

La estación Cuncumén corresponde al distrito agroclimático 5-13-1. Para este distrito climático la temperatura mínima, media y máxima climatológicas alcanzan los 4°C, 9.9°C y 15.9°C respectivamente. Por su parte, respecto a las temperaturas medidas durante el mes de agosto en la estación: la temperatura mínima alcanzo los 4.1°C (0.1°C sobre la climatológica), la temperatura media 10.4°C (0.5°C sobre la climatológica) y la temperatura máxima llegó a los 16.8°C (0.9°C sobre la climatológica). En el mes de agosto se registró una pluviometría de 120.2 mm, lo cual representa un 160.3% con respecto al mismo mes de un año normal. De enero a agosto se ha registrado un total acumulado de 310 mm, en circunstancias que un año normal registraría a la fecha 413 mm, lo que representa un déficit de 24.9%. A la misma fecha, durante el año 2024 la precipitación alcanzaba los 137.5 mm.

 

 

 

 

Estación El Maqui

La estación El Maqui corresponde al distrito agroclimático 5-4. Para este distrito climático la temperatura mínima, media y máxima climatológicas alcanzan los 4.9°C, 9.8°C y 14.7°C respectivamente. Por su parte, respecto a las temperaturas medidas durante el mes de agosto en la estación: la temperatura mínima alcanzo los 7.3°C (2.4°C sobre la climatológica), la temperatura media 11.7°C (1.9°C sobre la climatológica) y la temperatura máxima llegó a los 16.1°C (1.4°C sobre la climatológica). En el mes de agosto se registró una pluviometría de 96.8 mm, lo cual representa un 146.7% con respecto al mismo mes de un año normal. De enero a agosto se ha registrado un total acumulado de 295 mm, en circunstancias que un año normal registraría a la fecha 339 mm, lo que representa un déficit de 13%. A la misma fecha, durante el año 2024 la precipitación alcanzaba los 125.8 mm.

 

 

 

Componente Hidrológico

¿Qué está pasando con el agua?

A inicios de esta primavera, la macrozona Centro de Chile, que abarca las regiones de Valparaíso, Metropolitana y O’Higgins, enfrenta una situación hídrica compleja pero con señales de recuperación localizada. En términos de nieve, el déficit nacional sigue vigente: el promedio de nieve caída presenta un déficit del 41% respecto al período 1991-2020 y el Equivalente en Agua de Nieve (EAN) un déficit del 57%, lo que limita la disponibilidad de deshielo para ríos y embalses. Pese a ello, los caudales fluviales de la zona aumentaron en promedio un 65% respecto al mes anterior, aunque se registró una disminución significativa en estaciones puntuales como Estero Arrayán en La Montosa (Metropolitana) con 0,8 m³/s menos que en julio. Comparado con agosto de 2024, los caudales muestran bajas históricas del 33% promedio, destacando el río Alicahue en Valparaíso (-67%), mientras otros, como el río Huasco, evidencian incrementos locales. Los embalses muestran un leve aumento general del 11,4% respecto a julio, con los destinados a riego creciendo 6,9% y aquellos de generación y mixtos disminuyendo hasta 18,6%. Por su parte, los acuíferos de la macrozona Centro presentan recuperación significativa: el río La Ligua sube 66 cm, el río Aconcagua hasta 49 cm, el río Maipo 40 cm y el río Rapel hasta 53 cm, indicando que el agua subterránea sigue siendo un recurso crucial para sostener la agricultura y la población ante déficits superficiales. En conjunto, la macrozona Centro enfrenta una situación hídrica desafiante, con déficits de nieve y caudales, pero con reservas embalsadas y acuíferos que apuntan a una recuperación parcial en esta etapa primaveral.

FLUVIOMETRÍA

En la estación Río Sobrante en Piñadero, el caudal de agosto 2025 fue de 0,46 m3/s. Este valor es 60,3% menor al promedio histórico (1,16 m3/s) y 54,5% inferior al registro de agosto 2024 (1,01 m3/s). En comparación con julio 2025 (0,25 m3/s), se observa un aumento de 84,0%.


Boletín Información Pluviométrica, Fluviométrica, Estado de Embalses y Aguas Subterráneas (N° 568 agosto 2025)

En la estación Río Aconcagua en Chacabuquito, el caudal de agosto 2025 alcanzó los 10,5 m3/s. Esto representa un 25,5% menos que en agosto 2024 (13,8 m3/s) y un 25,5% inferior al promedio histórico (14,1 m3/s). En relación a julio 2025 (9,2 m3/s), se observa un alza de 14,1%.


Boletín Información Pluviométrica, Fluviométrica, Estado de Embalses y Aguas Subterráneas (N° 568 agosto 2025)

En la estación Río Maipo en El Manzano, el caudal de agosto 2025 fue de 42,0 m3/s. Este valor se encuentra 30,2% bajo el promedio histórico (60,2 m3/s) y 29,8% menor al registro de agosto 2024 (59,8 m3/s). En comparación con julio 2025 (39,1 m3/s), se aprecia un leve aumento de 7,4%.


Boletín Información Pluviométrica, Fluviométrica, Estado de Embalses y Aguas Subterráneas (N° 568 agosto 2025)

Resumen fluviométrico – Regiones de Valparaíso y Metropolitana

En términos generales, todos los ríos mantienen valores por debajo del promedio histórico, con déficits especialmente notorios en el río Sobrante (-60,3%) y en el río Maipo (-30,2%). Al comparar con julio 2025, se observa un comportamiento de recuperación parcial: Sobrante (+84%), Aconcagua (+14,1%) y Maipo (+7,4%) registran alzas mensuales. En relación a agosto 2024, los descensos siguen siendo importantes en los tres cursos de agua, especialmente en Maipo (-29,8%).

Río Agosto 2025
(m³/s)
Promedio histórico
(m³/s)
Variación
2025 vs Promedio
Agosto 2024
(m³/s)
Variación
2025 vs 2024
Julio 2025
(m³/s)
Variación
Agosto vs Julio
Sobrante 0,46 1,16 -60,3% 1,01 -54,5% 0,25 +84,0%
Aconcagua 10,5 14,1 -25,5% 13,8 -23,9% 9,2 +14,1%
Maipo 42,0 60,2 -30,2% 59,8 -29,8% 39,1 +7,4%

 

AGUAS SUBTERRÁNEAS y EMBALSES

En el acuífero Río Aconcagua en el sector de Nogales/Hijuelas, el nivel estático del Pozo Rabuco 2 muestra una recuperación sostenida en el último año. Durante agosto 2025 el nivel se ubicó en torno a 287 m.s.n.m., lo que equivale a cerca de 7 m desde la superficie del pozo.

Boletín Información Pluviométrica, Fluviométrica, Estado de Embalses y Aguas Subterráneas (N° 568 agosto 2025)

En el pozo Industria Bata, del acuífero Río Maipo (Melipilla), el nivel dinámico se mantiene estable respecto al comportamiento de los últimos años, situándose en agosto 2025 en torno a los 175 m.s.n.m., lo que corresponde a 3 m bajo la superficie del pozo.

Boletín Información Pluviométrica, Fluviométrica, Estado de Embalses y Aguas Subterráneas (N° 568 agosto 2025)

En el sector Río La Ligua Costa, pozo Papudo y Zapallar presentó en agosto 2025 su nivel más alto desde 2020, alcanzando 12 m.s.n.m., tras la recuperación registrada en los últimos meses.

Boletín Información Pluviométrica, Fluviométrica, Estado de Embalses y Aguas Subterráneas (N° 568 agosto 2025)

En el sector Río Petorca Poniente, correspondiente al acuífero Río Petorca, el pozo Parcela El Boldo mantiene una tendencia descendente en el último semestre. En agosto 2025 registró un nivel en torno a 167,5 m.s.n.m., equivalente a 3,5 m bajo la superficie, lo que refleja una disminución sostenida tras el alza registrada a finales de 2024, pero presentando un nivel estabilizado en los últimos 4 meses.

Boletín Información Pluviométrica, Fluviométrica, Estado de Embalses y Aguas Subterráneas (N° 568 agosto 2025)

Análisis de Posibles Riesgos Agroclimáticos en los Principales Rubros Agrícolas

Templado Mediterráneo con Infuencia Marina en Valle Central > Frutales > Palto

En la macrozona Centro, que incluye Valparaíso, Metropolitana y O’Higgins, el palto entra en plena floración y desarrollo de brotes durante la primavera, una etapa clave para la futura producción. Como el pronóstico para este trimestre anticipa precipitaciones bajo lo normal y temperaturas máximas sobre lo habitual, es esencial asegurar el suministro de agua desde septiembre,  para sostener tanto la floración como el crecimiento vegetativo. Se recomienda realizar una poda ligera, cortando la parte superior de los brotes sobre ramas laterales para estimular la formación de brotes cortos y vigorosos en verano, lo que mejora la estructura del árbol y la producción futura. En huertos con plantas envejecidas o con bajo desarrollo de brotes, conviene intensificar la poda y ajustar la fertilización, priorizando nitrógeno, fósforo y potasio, junto con micronutrientes esenciales. Mantener un buen control de malezas y monitorear la aparición de plagas o enfermedades asociadas al calor reducirá la competencia por agua y nutrientes, y mejorará la sanidad del huerto. Finalmente, en zonas con riesgo de heladas tardías, es aconsejable implementar sistemas de protección para evitar daños en flores y brotes jóvenes, asegurando así una mayor producción y calidad de frutos.


Templado Mediterráneo con Infuencia Marina en Valle Central > Hortalizas > Tomate

En la macrozona Centro, donde el tomate está en plena fase de crecimiento vegetativo y formación de flores, el pronóstico para este trimestre indica temperaturas máximas sobre lo normal y precipitaciones bajo lo normal, por lo que es fundamental manejar cuidadosamente la humedad del suelo para evitar estrés hídrico que afecte la floración y el cuajado. Se recomienda mantener el doble techo en los invernaderos para conservar el calor durante la noche y reducir la condensación, lo que previene enfermedades como Botrytis. La ventilación controlada en las horas más cálidas del día ayudará a regular la humedad relativa, disminuyendo el riesgo de hongos en hojas y frutos. Además, es clave realizar un monitoreo constante de plagas como pulgones, mosquita blanca y arañita roja, que podrían aumentar con las altas temperaturas; en caso necesario, implementar controles biológicos o químicos según corresponda. La fertilización debe enfocarse en nitrógeno y potasio para favorecer tanto el desarrollo vegetativo como la calidad de los frutos, ajustando las dosis según la edad del cultivo y el estado del suelo. En los sectores con riesgo de heladas tardías, especialmente en O’Higgins, se recomienda mantener cubiertas o sistemas de protección nocturna hasta que pase el peligro. Finalmente, un riego tecnificado, con frecuencia y caudal ajustados a la evapotranspiración, permitirá enfrentar mejor las condiciones secas esperadas.


Templado Mediterráneo en Valle Central Interior > Frutales > Vides

En la macrozona Centro, la vid está en la etapa de brotación y crecimiento inicial de brotes, un momento clave para definir la producción de la temporada. El pronóstico climático para septiembre-noviembre 2025 indica temperaturas máximas sobre lo normal y precipitaciones bajo lo normal, por lo que es esencial un manejo cuidadoso del riego para mantener la humedad del suelo sin excesos que favorezcan enfermedades radiculares. Se recomienda realizar un control preventivo de plagas como burrito de la vid y chanchito blanco, que pueden proliferar con las altas temperaturas, así como monitorear oídio y botritis, cuyo riesgo aumenta con la humedad en el follaje. La poda en verde y el desbrote deben orientarse a equilibrar la carga frutal, mejorar la aireación y permitir una mejor penetración de la luz solar, reduciendo riesgos sanitarios y favoreciendo la calidad de la fruta. La fertilización inicial debe enfocarse en nitrógeno y micronutrientes esenciales para un crecimiento vigoroso, aplicados en fracciones para optimizar su absorción. Además, en zonas con riesgo de heladas tardías, se aconseja implementar sistemas de protección como calefactores o ventiladores para resguardar los brotes tiernos y evitar pérdidas productivas en esta etapa temprana del cultivo.


Disponibilidad de Agua PDF
Análisis Del Indice De Vegetación Normalizado (NDVI) PDF

Respecto de la respuesta fisiológica de las plantas al efecto del clima, las imágenes satelitales reflejan la magnitud del crecimiento o disminución de la cobertura vegetal en esta época del año mediante el índice de vegetación NDVI (Desviación Normalizada del Índice de Vegetación).

Para esta quincena se observa un NDVI promedio regional de 0.6 mientras el año pasado había sido de 0.61. El valor promedio histórico para esta región, en este período del año es de 0.58.

El resumen regional en el contexto temporal se puede observar en el siguiente gráfico.

La situación por comunas se presenta en el siguiente gráfico, donde se presentan las comunas con índices más bajos.

Indice De Condición De La Vegetación (VCI) (En Evaluación) PDF

Para el monitoreo del estado de la vegetación en la Región se utilizó el índice de condición de la vegetación, VCI (Kogan, 1990, 1995). Este índice se encuentra entre valores de 0% a 100%. Valores bajo 40% se asocian a una condición desfavorable en la vegetación, siendo 0% la peor condición histórica y 100% la mejor (tabla 1).

En términos globales la Región presentó un valor mediano de VCI de 67% para el período comprendido desde el 13 al 28 de agosto. A igual período del año pasado presentaba un VCI de 71% (Fig. 1). De acuerdo a la Tabla 1 la Región de Valparaíso, en términos globales presenta una condición Favorable.

Tabla 1. Clasificación de la condición de la vegetación de acuerdo a los valores del índice VCI.

 

Tabla 2. Resumen de la condición de la vegetación comunal en la Región de acuerdo al análisis del índice VCI.

 

Figura 1. Valores del índice VCI para el mismo período entre los años 2000 al 2022 para la Región de Valparaíso

 

Figura 2. Valores promedio de VCI en Matorrales en la Región de Valparaíso

 

Figura 3. Valores promedio de VCI en praderas en la Región de Valparaíso

 

Figura 4. Valores promedio de VCI en terrenos de uso agrícola en la Región de Valparaíso

 

Figura 5. Valores comunales promedio de VCI en la Región de Valparaíso de acuerdo a la clasificación de la Tabla 1.

 

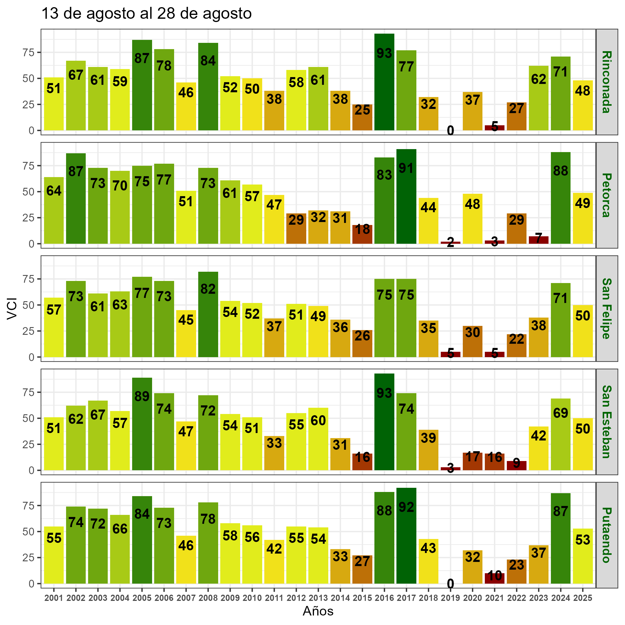
Las comunas que presentan los valores más bajos del índice VCI en la Región corresponden a Rinconada, Petorca, San Felipe, San Esteban y Putaendo con 48, 49, 50, 50 y 53% de VCI respectivamente.

Figura 6. Valores del índice VCI para las 5 comunas con valores más bajos del índice del 13 al 28 de agosto.

Análisis Del Índice De Vegetación Ajustado al Suelo (SAVI) PDF